Posts Tagged Philosophy
The End of Science Again
Posted by Bill Storage in History of Science, Philosophy of Science on October 24, 2025
Dad says enough of this biblical exegesis and hermeneutics nonsense. He wants more science and history of science for iconoclasts and Kuhnians. I said that if prophetic exegesis was good enough for Isaac Newton – who spent most of his writing life on it – it’s good enough for me. But to keep the family together around the spectroscope, here’s another look at what’s gone terribly wrong with institutional science.
It’s been thirty years since John Horgan wrote The End of Science, arguing that fundamental discovery was nearing its end. He may have overstated the case, but his diagnosis of scientific fatigue struck a nerve. Horgan claimed that major insights – quantum mechanics, relativity, the big bang, evolution, the double helix – had already given us a comprehensive map of reality unlikely to change much. Science, he said, had become a victim of its own success, entering a phase of permanent normality, to borrow Thomas Kuhn’s term. Future research, in his view, would merely refine existing paradigms, pose unanswerable questions, or spin speculative theories with no empirical anchor.
Horgan still stands by that thesis. He notes the absence of paradigm-shifting revolutions and a decline in disruptive research. A 2023 Nature study analyzed forty-five million papers and nearly four million patents, finding a sharp drop in genuinely groundbreaking work since the mid-twentieth century. Research increasingly consolidates what’s known rather than breaking new ground. Horgan also raises the philosophical point that some puzzles may simply exceed our cognitive reach – a concern with deep historical roots. Consider consciousness, quantum interpretation, or other problems that might mark the brain’s limits. Perhaps AI will push those limits outward.
Students of History of Science will think of Auguste Comte’s famous claim that we’d never know the composition of the stars. He wasn’t stupid, just cautious. Epistemic humility. He knew collecting samples was impossible. What he couldn’t foresee was spectrometry, where the wavelengths of light a star emits reveal the quantum behavior of its electrons. Comte and his peers could never have imagined that; it was data that forced quantum mechanics upon us.
The same confidence of finality carried into the next generation of physics. In 1874, Philipp von Jolly reportedly advised young Max Planck not to pursue physics, since it was “virtually a finished subject,” with only small refinements left in measurement. That position was understandable: Maxwell’s equations unified electromagnetism, thermodynamics was triumphant, and the Newtonian worldview seemed complete. Only a few inconvenient anomalies remained.
Albert Michelson, in 1894, echoed the sentiment. “Most of the grand underlying principles have been firmly established,” he said. Physics had unified light, electricity, magnetism, and heat; the periodic table was filled in; the atom looked tidy. The remaining puzzles – Mercury’s orbit, blackbody radiation – seemed minor, the way dark matter does to some of us now. He was right in one sense: he had interpreted his world as coherently as possible with the evidence he had. Or had he?
Michelson’s remark came after his own 1887 experiment with Morley – the one that failed to detect Earth’s motion through the ether and, in hindsight, cracked the door to relativity. The irony is enormous. He had already performed the experiment that revealed something was deeply wrong, yet he didn’t see it that way. The null result struck him as a puzzle within the old paradigm, not a death blow to it. The idea that the speed of light might be constant for all observers, or that time and space themselves might bend, was too far outside the late-Victorian imagination. Lorentz, FitzGerald, and others kept right on patching the luminiferous ether.
Logicians will recognize the case for pessimistic meta-induction here: past prognosticators have always been wrong about the future, and inductive reasoning says they will be wrong again. Horgan may think his case is different, but I can’t see it. He was partially right, but overconfident about completeness – treating current theories as final, just as Comte, von Jolly, and Michelson once did.
Where Horgan was most right – territory he barely touched – is in seeing that institutions now ensure his prediction. Science stagnates not for lack of mystery but because its structures reward safety over risk. Peer review, grant culture, and the fetish for incrementalism make Kuhnian normal science permanent. Scientific American canned Horgan soon after The End of Science appeared. By the mid-90s, the magazine had already crossed the event horizon of integrity.
While researching his book, Horgan interviewed Edward Witten, already the central figure in the string-theory marketing machine. Witten rejected Kuhn’s model of revolutions, preferring a vision of seamless theoretical progress. No surprise. Horgan seemed wary of Witten’s confidence. He sensed that Witten’s serene belief in an ever-tightening net of theory was itself a symptom of closure.
From a Feyerabendian perspective, the irony is perfect. Paul Feyerabend would say that when a scientific culture begins to prize formal coherence, elegance, and mathematical completeness over empirical confrontation, it stops being revolutionary. In that sense, the Witten attitude itself initiates the decline of discovery.
String theory is the perfect case study: an extraordinary mathematical construct that’s absorbed immense intellectual capital without yielding a falsifiable prediction. To a cynic (or realist), it looks like a priesthood refining its liturgy. The Feyerabendian critique would be that modern science has been rationalized to death, more concerned with internal consistency and social prestige than with the rude encounter between theory and world. Witten’s world has continually expanded a body of coherent claims – they hold together, internally consistent. But science does not run on a coherence model of truth. It demands correspondence. (Coherence vs. correspondence models of truth was a big topic in analytic philosophy in the last century.) By correspondence theory of truth, we mean that theories must survive the test against nature. The creation of coherent ideas means nothing without it. Experience trumps theory, always – the scientific revolution in a nutshell.
Horgan didn’t say – though he should have – that Witten’s aesthetic of mathematical beauty has institutionalized epistemic stasis. The problem isn’t that science has run out of mysteries, as Horgan proposed, but that its practitioners have become too self-conscious, too invested in their architectures to risk tearing them down. Galileo rolls over.
Horgan sensed the paradox but never made it central. His End of Science was sociological and cognitive; a Feyerabendian would call it ideological. Science has become the very orthodoxy it once subverted.
“He Tied His Lace” – Rum, Grenades and Bayesian Reasoning in Peaky Blinders
Posted by Bill Storage in Probability and Risk on August 4, 2025
“He tied his lace.” Spoken by a jittery subordinate halfway through a confrontation, the line turns a scene in Peaky Blinders from stylized gangster drama into a live demonstration of Bayesian belief update. The scene is a tightly written jewel of deadpan absurdity.
(The video clip and a script excerpt from Season 2, Episode 6 appears at the bottom of this article – rough language. “Peaky blinders,” for what its worth, refers to young brits in blindingly dapper duds and peaked caps in the 1920s.)
The setup: Alfie Solomons has temporarily switched his alliance from Tommy Shelby to Darby Sabini, a rival Italian gangster, in exchange for his bookies being allowed at the Epsom Races. Alfie then betrayed Tommy by setting up Tommy’s brother Arthur and having him arrested for murder. But Sabini broke his promise to Alfie, causing Alfie to seek a new deal with Tommy. Now Tommy offers 20% of his bookie business. Alfie wants 100%. In the ensuing disagreement, Alfie’s man Ollie threatens to shoot Tommy unless Alfie’s terms are met.
Tommy then offers up a preposterous threat. He claims to have planted a grenade and wired it to explode if he doesn’t walk out the door by 7pm. The lynchpin of this claim? That he bent down to tie his shoe on the way in, thereby concealing his planting the grenade among Alfie’s highly flammable bootleg rum kegs. Ollie falls apart when, during the negotiations, he recalls seeing Tommy tie his shoe on the way in. “He tied his lace,” he mutters frantically.
In another setting, this might be just a throwaway line. But here, it’s the final evidence given in a series of Bayesian belief updates – an ambiguous detail that forces a final shift in belief. This is classic Bayesian decision theory with sequential Bayesian inference, dynamic belief updates, and cost asymmetry. Agents updates their subjective probability (posterior) based on new evidence and choose an action to maximize expected utility.
By the end of the negotiation, Alfie’s offering a compromise. What changes is not the balance of lethality or legality, but this sequence of increasingly credible signals that Tommy might just carry through on the threat in response to Alfie’s demands.
As evidence accumulates – some verbal, some circumstantial – Alfie revises his belief, lowers his demands, and eventually accepts a deal that reflects the posterior probability that Tommy is telling the truth. It’s Bayesian updating with combustible rum, thick Cockney accents, and death threats delivered with stony precision.
Bayesian belief updating involves (see also *):
- Prior belief (P(H)): Initial credence in a hypothesis (e.g., “Tommy is bluffing”).
- Evidence (E): New information (e.g., a credible threat of violence, or a revealed inconsistency).
- Likelihood (P(E|H)): How likely the evidence is if the hypothesis is true.
- Posterior belief (P(H|E)): Updated belief in the hypothesis given the evidence.
In Peaky Blinders, the characters have beliefs about each other’s natures, e.g., ruthless, crazy, bluffing.
The Exchange as Bayesian Negotiation
Initial Offer – 20% (Tommy)
This reflects Tommy’s belief that Alfie will find the offer worthwhile given legal backing and mutual benefits (safe rum shipping). He assumes Alfie is rational and profit-oriented.
Alfie’s Counter – 100%
Alfie reveals a much higher demand with a threat attached (Ollie + gun). He’s signaling that he thinks Tommy has little to no leverage – a strong prior that Tommy is bluffing or weak.
Tommy’s Threat – Grenade
Tommy introduces new evidence: a possible suicide mission, planted grenade, anarchist partner. Alfie must now update his beliefs:
- What is the probability Tommy is bluffing?
- What’s the chance the grenade exists and is armed?
Ollie’s Confirmation – “He tied his lace…”
This is independent corroborating evidence – evidence of something anyway. Alfie now receives a report that raises the likelihood Tommy’s story is true (P(E|¬H) drops, P(E|H) rises). So Alfie updates his belief in Tommy’s credibility, lowering his confidence that he can push for 100%.
The offer history, which controls their priors and posteriors:
- Alfie lowers from 100% → 65% (“I’ll bet 100 to 1”)
- Tommy rejects
- Alfie considers Tommy’s past form (“he blew up his own pub”)
This shifts the prior. Now P(Tommy is reckless and serious) is higher. - Alfie: 65% → 45%
- Tommy: Counters with 30%
- Tommy adds detail: WWI tunneling expertise, same grenade kit, he blew up a mine
- Alfie checks for inconsistency (“I heard they all got buried”)
Potential Bayesian disconfirmation. Is Tommy lying? - Tommy: “Three of us dug ourselves out” → resolves inconsistency
The model regains internal coherence. Alfie’s posterior belief in the truth of the grenade story rises again. - Final offer: 35%
They settle, each having adjusted credence in the other’s threat profile and willingness to follow through.
Analysis
Beliefs are not static. Each new statement, action, or contradiction causes belief shifts. Updates are directional, not precise. No character says “I now assign 65% chance…” but, since they are rational actors, their offers directly encode these shifts in valuation. We see behaviorally expressed priors and posteriors. Alfie’s movement from 100 to 65 to 45 to 35% is not arbitrary. It reflects updates in how much control he believes he has.
Credibility is a Bayesian variable. Tommy’s past (blowing up his own pub) is treated as evidence relevant to present behavior. Social proof is given by Ollie. Ollie panics on recalling that Tommy tied his shoe. Alfie chastises Ollie for being a child in a man’s world and sends him out. But Alfie has already processed this Bayesian evidence for the grenade threat, and Tommy knows it. The 7:00 deadline adds urgency and tension to the scene. Crucially, from a Bayesian perspective, it limits the number of possible belief revisions, a typical constraint for bounded rationality.
As an initial setup, let:
- T = Tommy has rigged a grenade
- ¬T = Tommy is bluffing
- P(T) = Alfie’s prior that Tommy is serious
Let’s say initially:
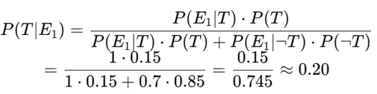
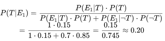
P(T) = 0.15, so P(¬T) = 0.85
Alfie starts with a strong prior that Tommy’s bluffing. Most people wouldn’t blow themselves up. Tommy’s a businessman, not a suicide bomber. Alfie has armed men and controls the room.
Sequence of Evidence and Belief Updates
Evidence 1: Tommy’s grenade threat
E₁ = Tommy says he planted a grenade and has an assistant with a tripwire
We assign:
- P(E₁|T) = 1 (he would say so if it’s real)
- P(E₁|¬T) = 0.7 (he might bluff this anyway)
Using Bayes’ Theorem:
So now Alfie gives a 20% chance Tommy is telling the truth. Behavioral result: Alfie lowers the offer from 100% → 65%.
Evidence 2: Ollie confirms the lace-tying + nervousness
E₂ = Ollie confirms Tommy bent down and there’s a boy at the door
This is independent evidence supporting T.
- P(E₂|T) = 0.9 (if it’s true, this would happen)
- P(E₂|¬T) = 0.3 (could be coincidence)
Update:
So Alfie now gives 43% probability that the grenade is real. Behavioral result: Offer drops to 45%.
Evidence 3: Tommy shows grenade pin + WWI tunneler claim
E₃ = Tommy drops the pin and references real tunneling experience
- P(E₃|T) = 0.95 (he’d be prepared and have a story)
- P(E₃|¬T) = 0.5 (he might fake this, but riskier)
Update:
Now Alfie believes there’s nearly a 60% chance Tommy is serious. Behavioral result: Offer rises slightly to 35%, the final deal.
Simplified Utility Function
Assume Alfie’s utility is:
U(percent) = percent ⋅ V−C ⋅ P(T)
Where:
- V = Value of Tommy’s export business (let’s say 100)
- C = Cost of being blown up (e.g., 1000)
- P(T) = Updated belief Tommy is serious
So for 65%, with P(T) = 0.43:
U = 65 – 1000 ⋅ 0.43 = 65 – 430 = −365
But for 35%, with P(T) = 0.59:
U = 35 – 1000 ⋅ 0.59 = 35 – 590 = −555
Here we should note that Alfie’s utility function is not particularly sensitive to the numerical values of V and C; using C = 10,000 or 500 doesn’t change the relative outcomes much. So, why does Alfie accept the lower utility? Because risk of total loss is also a factor. If the grenade is real, pushing further ends in death and no gain. Alfie’s risk appetite is negatively skewed.
At the start of the negotiation, Alfie behaves like someone with low risk aversion by demanding 100%, assuming dominance, and later believing Tommy is bluffing. His prior is reflect extreme confidence and control. But as the conversation progresses, the downside risk becomes enormous: death, loss of business, and, likely worse, public humiliation.
The evidence increasingly supports the worst-case scenario. There’s no compensating upside for holding firm, no added reward for risking everything to get 65% instead of 35%.
This flips Alfie’s profile. He develops a sharp negative skew in risk appetite, especially under time pressure and mounting evidence. Even though 35% yields a worse expected utility than 65%, it avoids the long tail – catastrophic loss.
***
[Tommy is seated in Alfie’s office]
Alfie (to Tommy): That’ll probably be for you, won’t it?
Tommy: Hello? Arthur. You’re out.
Alfie: Right, so that’ll be your side of the street swept up, won’t it? Where’s mine? What you got for me?
Tommy: Signed by the Minister of the Empire himself. Yeah? So it is.
Tommy: This means that you can put your rum in our shipments, and no one at Poplar Docks will lift a canvas.
Alfie: You know what? I’m not even going to have my lawyer look at that.
Tommy: I know, it’s all legal.
Alfie: You know what, mate, I trust you. That’s that. Done. So, whisky… There is, uh, one thing, though, that we do need to discuss.
Tommy: What would that be?
Alfie: It says here, “20% “paid to me of your export business.”
Tommy: As we agreed on the telephone…
Alfie: No, no, no, no, no. See, I’ve had my lawyer draw this up for us, just in case. It says that, here, that 100% of your business goes to me.
Tommy: I see.
Alfie: It’s there.
Tommy: Right.
Alfie: Don’t worry about it, right, because it’s totally legal binding. All you have to do is sign the document and transfer the whole lot over to me.
Tommy: Sign just here, is it?
Alfie: Yeah.
Tommy: I see. That’s funny. That is.
Alfie: What?
Tommy: No, that’s funny. I’ll give you 100% of my business.
Alfie: Yeah.
Tommy: Why?
[Ollie appears and aims a revolver at Tommy]
Alfie: Ollie, no. No, no, no. Put that down. He understands, he understands. He’s a big boy, he knows the road. Now, look, it’s just non-fucking-negotiable. That’s all you need to know. So all you have to do is sign the fucking contract. Right there.
Tommy: just sign here?
Alfie: With your pen.
Tommy: I understand.
Alfie: Good. Get on with it.
Tommy: Well, I have an associate waiting for me at the door. I know that he looks like a choir boy, but he is actually an anarchist from Kentish Town.
Alfie: Tommy… I’m going to fucking shoot you. All right?
Tommy: Now, when I came in here, Mr. Solomons, I stopped to tie my shoelace. Isn’t that a fact? Ollie?
Tommy: I stopped to tie my shoelace. And while I was doing it, I laid a hand grenade on one of your barrels.
Tommy: Mark 15, with a wired trip. And my friend upstairs… Well, he’s like one of those anarchists that blew up Wall Street, you know? He’s a professional. And he’s in charge of the wire. If I don’t walk out that door on the stroke of 7:00, he’s going to trigger the grenade and… your very combustible rum will blow us all to hell. And I don’t care… because I’m already dead.
Ollie: He tied his lace, Alfie. And there is a kid at the door.
Tommy: From a good family, too. Ollie, it’s shocking what they become…
Alfie (to Ollie): What were you doing when this happened?
Ollie: He tied his lace, nothing else.
Alfie: Yeah, but what were you doing?
Ollie: I was marking the runners in the paper.
Alfie: What are you doing?
Tommy: Just checking the time. Carry on.
Alfie: Right, Ollie, I want you to go outside, yeah, and shoot that boy in the face – from the good family, all right?
Tommy: Anyone walks through that door except me, he blows the grenade.
Ollie: He tied his fucking lace…
Tommy: I did tie my lace.
Alfie: I bet, 100 to 1, you’re fucking lying, mate. That’s my money.
Tommy: Well, see, you’ve failed to consider the form. I did blow up me own pub… for the insurance.
Alfie: OK right… Well, considering the form, I would say 65 to 1. Very good odds. And I would be more than happy and agree if you were to sign over 65% of your business to me. Thank you.
Tommy: Sixty-five? No deal.
Alfie: Ollie, what do you say?
Ollie: Jesus Christ, Alfie. He tied his fucking lace, I saw him! He planted a grenade, I know he did. Alfie, it’s Tommy fucking Shelby…
[Alfie smacks Ollie across the face, grabs him by the collar, pulls him close and looks straight into his face.]
Alfie to Ollie: You’re behaving like a fucking child. This is a man’s world. Take your apron off, and sit in the corner like a little boy. Fuck off. Now.
Tommy: Four minutes.
Alfie: All right, four minutes. Talk to me about hand grenades.
Tommy: The chalk mark on the barrel, at knee height. It’s a Hamilton Christmas. I took out the pin and put it on the wire.
[Tommy produces a pin from his pocket and drops it on the table. Alfie inspects it.]
Alfie: Based on this… forty-five percent. [of Tommy’s business]
Tommy: Thirty.
Alfie: Oh, fuck off, Tommy. That’s far too little.
Tommy: In France, Mr. Solomons, while I was a tunneller, a clay-kicker. 179. I blew up Schwabenhöhe. Same kit I’m using today.
Alfie: It’s funny, that. I do know the 179. And I heard they all got buried.
[Alfie looks at Tommy as though he has caught him in an inconsistency]
Tommy: Three of us dug ourselves out.
Alfie: Like you’re digging yourself out now?
Tommy: Like I’m digging now.
Alfie: Fuck me. Listen, I’ll give you 35%. That’s your lot.
Tommy: Thirty-five.
[Tommy and Alfie shake hands. Tommy leaves.]
From Aqueducts to Algorithms: The Cost of Consensus
Posted by Bill Storage in History of Science on July 9, 2025
The Scientific Revolution, we’re taught, began in the 17th century – a European eruption of testable theories, mathematical modeling, and empirical inquiry from Copernicus to Newton. Newton was the first scientist, or rather, the last magician, many historians say. That period undeniably transformed our understanding of nature.
Historians increasingly question whether a discrete “scientific revolution” ever happened. Floris Cohen called the label a straightjacket. It’s too simplistic to explain why modern science, defined as the pursuit of predictive, testable knowledge by way of theory and observation, emerged when and where it did. The search for “why then?” leads to Protestantism, capitalism, printing, discovered Greek texts, scholasticism, even weather. That’s mostly just post hoc theorizing.
Still, science clearly gained unprecedented momentum in early modern Europe. Why there? Why then? Good questions, but what I wonder, is why not earlier – even much earlier.
Europe had intellectual fireworks throughout the medieval period. In 1320, Jean Buridan nearly articulated inertia. His anticipation of Newton is uncanny, three centuries earlier:
“When a mover sets a body in motion he implants into it a certain impetus, that is, a certain force enabling a body to move in the direction in which the mover starts it, be it upwards, downwards, sidewards, or in a circle. The implanted impetus increases in the same ratio as the velocity. It is because of this impetus that a stone moves on after the thrower has ceased moving it. But because of the resistance of the air (and also because of the gravity of the stone) … the impetus will weaken all the time. Therefore the motion of the stone will be gradually slower, and finally the impetus is so diminished or destroyed that the gravity of the stone prevails and moves the stone towards its natural place.”
Robert Grosseteste, in 1220, proposed the experiment-theory iteration loop. In his commentary on Aristotle’s Posterior Analytics, he describes what he calls “resolution and composition”, a method of reasoning that moves from particulars to universals, then from universals back to particulars to make predictions. Crucially, he emphasizes that both phases require experimental verification.
In 1360, Nicole Oresme gave explicit medieval support for a rotating Earth:
“One cannot by any experience whatsoever demonstrate that the heavens … are moved with a diurnal motion… One can not see that truly it is the sky that is moving, since all movement is relative.”
He went on to say that the air moves with the Earth, so no wind results. He challenged astrologers:
“The heavens do not act on the intellect or will… which are superior to corporeal things and not subject to them.”
Even if one granted some influence of the stars on matter, Oresme wrote, their effects would be drowned out by terrestrial causes.
These were dead ends, it seems. Some blame the Black Death, but the plague left surprisingly few marks in the intellectual record. Despite mass mortality, history shows politics, war, and religion marching on. What waned was interest in reviving ancient learning. The cultural machinery required to keep the momentum going stalled. Critical, collaborative, self-correcting inquiry didn’t catch on.
A similar “almost” occurred in the Islamic world between the 10th and 16th centuries. Ali al-Qushji and al-Birjandi developed sophisticated models of planetary motion and even toyed with Earth’s rotation. A layperson would struggle to distinguish some of al-Birjandi’s thought experiments from Galileo’s. But despite a wealth of brilliant scholars, there were few institutions equipped or allowed to convert knowledge into power. The idea that observation could disprove theory or override inherited wisdom was socially and theologically unacceptable. That brings us to a less obvious candidate – ancient Rome.
Rome is famous for infrastructure – aqueducts, cranes, roads, concrete, and central heating – but not scientific theory. The usual story is that Roman thought was too practical, too hierarchical, uninterested in pure understanding.
One text complicates that story: De Architectura, a ten-volume treatise by Marcus Vitruvius Pollio, written during the reign of Augustus. Often described as a manual for builders, De Architectura is far more than a how-to. It is a theoretical framework for knowledge, part engineering handbook, part philosophy of science.
Vitruvius was no scientist, but his ideas come astonishingly close to the scientific method. He describes devices like the Archimedean screw or the aeolipile, a primitive steam engine. He discusses acoustics in theater design, and a cosmological models passed down from the Greeks. He seems to describe vanishing point perspective, something seen in some Roman art of his day. Most importantly, he insists on a synthesis of theory, mathematics, and practice as the foundation of engineering. His describes something remarkably similar to what we now call science:
“The engineer should be equipped with knowledge of many branches of study and varied kinds of learning… This knowledge is the child of practice and theory. Practice is the continuous and regular exercise of employment… according to the design of a drawing. Theory, on the other hand, is the ability to demonstrate and explain the productions of dexterity on the principles of proportion…”
“Engineers who have aimed at acquiring manual skill without scholarship have never been able to reach a position of authority… while those who relied only upon theories and scholarship were obviously hunting the shadow, not the substance. But those who have a thorough knowledge of both… have the sooner attained their object and carried authority with them.”
This is more than just a plea for well-rounded education. H e gives a blueprint for a systematic, testable, collaborative knowledge-making enterprise. If Vitruvius and his peers glimpsed the scientific method, why didn’t Rome take the next step?
The intellectual capacity was clearly there. And Roman engineers, like their later European successors, had real technological success. The problem, it seems, was societal receptiveness.
Science, as Thomas Kuhn famously brough to our attention, is a social institution. It requires the belief that man-made knowledge can displace received wisdom. It depends on openness to revision, structured dissent, and collaborative verification. These were values that the Roman elite culture distrusted.
When Vitruvius was writing, Rome had just emerged from a century of brutal civil war. The Senate and Augustus were engaged in consolidating power, not questioning assumptions. Innovation, especially social innovation, was feared. In a political culture that prized stability, hierarchy, and tradition, the idea that empirical discovery could drive change likely felt dangerous.
We see this in Cicero’s conservative rhetoric, in Seneca’s moralism, and in the correspondence between Pliny and Trajan, where even mild experimentation could be viewed as subversive. The Romans could build aqueducts, but they wouldn’t fund a lab.
Like the Islamic world centuries later, Rome had scholars but not systems. Knowledge existed, but the scaffolding to turn it into science – collective inquiry, reproducibility, peer review, invitations for skeptics to refute – never emerged.
Vitruvius’s De Architectura deserves more attention, not just as a technical manual but as a proto-scientific document. It suggests that the core ideas behind science were not exclusive to early modern Europe. They’ve flickered into existence before, in Alexandria, Baghdad, Paris, and Rome, only to be extinguished by lack of institutional fit.
That science finally took root in the 17th century had less to do with discovery than with a shift in what society was willing to do with discovery. The real revolution wasn’t in Newton’s laboratory, it was in the culture.
Rome’s Modern Echo?
It’s worth asking whether we’re becoming more Roman ourselves. Today, we have massively resourced research institutions, global scientific networks, and generations of accumulated knowledge. Yet, in some domains, science feels oddly stagnant or brittle. Dissenting views are not always engaged but dismissed, not for lack of evidence, but for failing to fit a prevailing narrative.
We face a serious, maybe existential question. Does increasing ideological conformity, especially in academia, foster or hamper science?
Obviously, some level of consensus is essential. Without shared standards, peer review collapses. Climate models, particle accelerators, and epidemiological studies rely on a staggering degree of cooperation and shared assumptions. Consensus can be a hard-won product of good science. And it can run perilously close to dogma. In the past twenty years we’ve seen consensus increasingly enforced by legal action, funding monopolies, and institutional ostracism.
String theory may (or may not) be physics’ great white whale. It’s mathematically exquisite but empirically elusive. For decades, critics like Lee Smolin and Peter Woit have argued that string theory has enjoyed a monopoly on prestige and funding while producing little testable output. Dissenters are often marginalized.
Climate science is solidly evidence-based, but responsible scientists point to constant revision of old evidence. Critics like Judith Curry or Roger Pielke Jr. have raised methodological or interpretive concerns, only to find themselves publicly attacked or professionally sidelined. Their critique is labeled denial. Scientific American called Curry a heretic. Lawsuits, like Michael Mann’s long battle with critics, further signal a shift from scientific to pre-scientific modes of settling disagreement.
Jonathan Haidt, Lee Jussim, and others have documented the sharp political skew of academia, particularly in the humanities and social sciences, but increasingly in hard sciences too. When certain political assumptions are so embedded, they become invisible. Dissent is called heresy in an academic monoculture. This constrains the range of questions scientists are willing to ask, a problem that affects both research and teaching. If the only people allowed to judge your work must first agree with your premises, then peer review becomes a mechanism of consensus enforcement, not knowledge validation.
When Paul Feyerabend argued that “the separation of science and state” might be as important as the separation of church and state, he was pushing back against conservative technocratic arrogance. Ironically, his call for epistemic anarchism now resonates more with critics on the right than the left. Feyerabend warned that uniformity in science, enforced by centralized control, stifles creativity and detaches science from democratic oversight.
Today, science and the state, including state-adjacent institutions like universities, are deeply entangled. Funding decisions, hiring, and even allowable questions are influenced by ideology. This alignment with prevailing norms creates a kind of soft theocracy of expert opinion.
The process by which scientific knowledge is validated must be protected from both politicization and monopolization, whether that comes from the state, the market, or a cultural elite.
Science is only self-correcting if its institutions are structured to allow correction. That means tolerating dissent, funding competing views, and resisting the urge to litigate rather than debate. If Vitruvius teaches us anything, it’s that knowing how science works is not enough. Rome had theory, math, and experimentation. What it lacked was a social system that could tolerate what those tools would eventually uncover. We do not yet lack that system, but we are testing the limits.
Grains of Truth: Science and Dietary Salt
Posted by Bill Storage in History of Science, Philosophy of Science on June 29, 2025
Science doesn’t proceeds in straight lines. It meanders, collides, and battles over its big ideas. Thomas Kuhn’s view of science as cycles of settled consensus punctuated by disruptive challenges is a great way to understand this messiness, though later approaches, like Imre Lakatos’s structured research programs, Paul Feyerabend’s radical skepticism, and Bruno Latour’s focus on science’s social networks have added their worthwhile spins. This piece takes a light look, using Kuhn’s ideas with nudges from Feyerabend, Lakatos, and Latour, at the ongoing debate over dietary salt, a controversy that’s nuanced and long-lived. I’m not looking for “the truth” about salt, just watching science in real time.
Dietary Salt as a Kuhnian Case Study
The debate over salt’s role in blood pressure shows how science progresses, especially when viewed through the lens of Kuhn’s philosophy. It highlights the dynamics of shifting paradigms, consensus overreach, contrarian challenges, and the nonlinear, iterative path toward knowledge. This case reveals much about how science grapples with uncertainty, methodological complexity, and the interplay between evidence, belief, and rhetoric, even when relatively free from concerns about political and institutional influence.
In The Structure of Scientific Revolutions, Kuhn proposed that science advances not steadily but through cycles of “normal science,” where a dominant paradigm shapes inquiry, and periods of crisis that can result in paradigm shifts. The salt–blood pressure debate, though not as dramatic in consequence as Einstein displacing Newton or as ideologically loaded as climate science, exemplifies these principles.
Normal Science and Consensus
Since the 1970s, medical authorities like the World Health Organization and the American Heart Association have endorsed the view that high sodium intake contributes to hypertension and thus increases cardiovascular disease (CVD) risk. This consensus stems from clinical trials such as the 2001 DASH-Sodium study, which demonstrated that reducing salt intake significantly (from 8 grams per day to 4) lowered blood pressure, especially among hypertensive individuals. This, in Kuhn’s view, is the dominant paradigm.
This framework – “less salt means better health” – has guided public health policies, including government dietary guidelines and initiatives like the UK’s salt reduction campaign. In Kuhnian terms, this is “normal science” at work. Researchers operate within an accepted model, refining it with meta-analyses and Randomized Control Trials, seeking data to reinforce it, and treating contradictory findings as anomalies or errors. Public health campaigns, like the AHA’s recommendation of less than 2.3 g/day of sodium, reflect this consensus. Governments’ involvement embodies institutional support.
Anomalies and Contrarian Challenges
However, anomalies have emerged. For instance, a 2016 study by Mente et al. in The Lancet reported a U-shaped curve; both very low (less than 3 g/day) and very high (more than 5 g/day) sodium intakes appeared to be associated with increased CVD risk. This challenged the linear logic (“less salt, better health”) of the prevailing model. Although the differences in intake were not vast, the implications questioned whether current sodium guidelines were overly restrictive for people with normal blood pressure.
The video Salt & Blood Pressure: How Shady Science Sold America a Lie mirrors Galileo’s rhetorical flair, using provocative language such as “shady science” to challenge the establishment. Like Galileo’s defense of heliocentrism, contrarians in the salt debate (researchers like Mente) amplify anomalies to question dogma, sometimes exaggerating flaws in early studies (e.g., Lewis Dahl’s rat experiments) or alleging conspiracies (e.g., pharmaceutical influence). More in Feyerabend’s view than in Kuhn’s, this exaggeration and rhetoric might be desirable. It’s useful. It provides the challenges that the paradigm should be able to overcome to remain dominant.
These challenges haven’t led to a paradigm shift yet, as the consensus remains robust, supported by RCTs and global health data. But they highlight the Kuhnian tension between entrenched views and emerging evidence, pushing science to refine its understanding.
Framing the issue as a contrarian challenge might go something like this:
Evidence-based medicine sets treatment guidelines, but evidence-based medicine has not translated into evidence-based policy. Governments advise lowering salt intake, but that advice is supported by little robust evidence for the general population. Randomized controlled trials have not strongly supported the benefit of salt reduction for average people. Indeed, we see evidence that low salt might pose as great a risk.
Methodological Challenges
The question “Is salt bad for you?” is ill-posed. Evidence and reasoning say this question oversimplifies a complex issue: sodium’s effects vary by individual (e.g., salt sensitivity, genetics), diet (e.g., processed vs. whole foods), and context (e.g., baseline blood pressure, activity level). Science doesn’t deliver binary truths. Modern science gives probabilistic models, refined through iterative testing.
While randomized controlled trials (RCTs) have shown that reducing sodium intake can lower blood pressure, especially in sensitive groups, observational studies show that extremely low sodium is associated with poor health. This association may signal reverse causality, an error in reasoning. The data may simply reveal that sicker people eat less, not that they are harmed by low salt. This complexity reflects the limitations of study design and the challenges of isolating causal relationships in real-world populations. The above graph is a fairly typical dose-response curve for any nutrient.
The salt debate also underscores the inherent difficulty of studying diet and health. Total caloric intake, physical activity, genetic variation, and compliance all confound the relationship between sodium and health outcomes. Few studies look at salt intake as a fraction of body weight. If sodium recommendations were expressed as sodium density (mg/kcal), it might help accommodate individual energy needs and eating patterns more effectively.
Science as an Iterative Process
Despite flaws in early studies and the polemics of dissenters, the scientific communities continue to refine its understanding. For example, Japan’s national sodium reduction efforts since the 1970s have coincided with significant declines in stroke mortality, suggesting real-world benefits to moderation, even if the exact causal mechanisms remain complex.
Through a Kuhnian lens, we see a dominant paradigm shaped by institutional consensus and refined by accumulating evidence. But we also see the system’s limits: anomalies, confounding variables, and methodological disputes that resist easy resolution.
Contrarians, though sometimes rhetorically provocative or methodologically uneven, play a crucial role. Like the “puzzle-solvers” and “revolutionaries” in Kuhn’s model, they pressure the scientific establishment to reexamine assumptions and tighten methods. This isn’t a flaw in science; it’s the process at work.
Salt isn’t simply “good” or “bad.” The better scientific question is more conditional: How does salt affect different individuals, in which contexts, and through what mechanisms? Answering this requires humility, robust methodology, and the acceptance that progress usually comes in increments. Science moves forward not despite uncertainty, disputation and contradiction but because of them.
After the Applause: Heilbron Rereads Feyerabend
Posted by Bill Storage in History of Science, Philosophy of Science on June 4, 2025
A decade ago, in a Science, Technology and Society (STS) roundtable, I brought up Paul Feyerabend, who was certainly familiar to everyone present. I said that his demand for a separation of science and state – his call to keep science from becoming a tool of political authority – seemed newly relevant in the age of climate science and policy entanglement. Before I could finish the thought, someone cut in: “You can’t use Feyerabend to support republicanism!”
I hadn’t made an argument. Feyerabend was being claimed as someone who belonged to one side of a cultural war. His ideas were secondary. That moment stuck with me, not because I was misunderstood, but because Feyerabend was. And maybe he would have loved that. He was ambiguous by design. The trouble is that his deliberate opacity has hardened, over time, into distortion.
Feyerabend survives in fragments and footnotes. He’s the folk hero who overturned Method and danced on its ruins. He’s a cautionary tale: the man who gave license to science denial, epistemic relativism, and rhetorical chaos. You’ll find him invoked in cultural studies and critiques of scientific rationality, often with little more than the phrase “anything goes” as evidence. He’s also been called “the worst enemy of science.”
Against Method is remembered – or reviled – as a manifesto for intellectual anarchy. But “manifesto” doesn’t fit at all. It didn’t offer a vision, a list of principles, or a path forward. It has no normative component. It offered something stranger: a performance.
Feyerabend warned readers in the preface that the book would contradict itself, that it wasn’t impartial, and that it was meant to persuade, not instruct. He said – plainly and explicitly – that later parts would refute earlier ones. It was, in his words, a “tendentious” argument. And yet neither its admirers nor its critics have taken that warning seriously.
Against Method has become a kind of Rorschach test. For some, it’s license; for others, sabotage. Few ask what Feyerabend was really doing – or why he chose that method to attack Method. A few of us have long argued that Against Method has been misread. It was never meant as a guidebook or a threat, but as a theatrical critique staged to provoke and destabilize something that badly needed destabilizing.
That, I was pleased to learn, is also the argument made quietly and precisely in the last published work of historian John Heilbron. It may be the most honest reading of Feyerabend we’ve ever had.
John once told me that, unlike Kuhn, he had “the metabolism of a historian,” a phrase that struck me later as a perfect self-diagnosis: patient, skeptical, and slow-burning. He’d been at Berkeley when Feyerabend was still strutting the halls in full flair – the accent, the dramatic pronouncements, the partying. John didn’t much like him. He said so over lunch, on walks, at his house or mine. Feyerabend was hungry for applause, and John disapproved of his personal appetites and the way he flaunted them.
And yet… John’s recent piece on Feyerabend – the last thing he ever published – is microscopically delicate, charitable, and clear-eyed. John’s final chapter in Stefano Gattei’s recent book, Feyerabend in Dialogue, contains no score-settling, no demolition. Just a forensic mind trained to separate signal from noise. If Against Method is a performance, Heilbron doesn’t boo it offstage. He watches it again, closely, and tells us how it was done. Feyerabend through Heilbron’s lens is a performance reframed.
If anyone was positioned to make sense of Feyerabend, rhetorically, philosophically, and historically, it was Heilbron – Thomas Kuhn’s first graduate student, a lifelong physicist-turned-historian, and an expert on both early modern science and quantum theory’s conceptual tangles. His work on Galileo, Bohr, and the Scientific Revolution was always precise, occasionally sly, and never impressed by performance for performance’s sake.
That care is clearest in his treatment of Against Method’s most famous figure: Galileo. Feyerabend made Galileo the centerpiece of his case against scientific method – not as a heroic rationalist, but as a cunning rhetorician who won not because of superior evidence, but because of superior style. He compared Galileo to Goebbels, provocatively, to underscore how persuasion, not demonstration, drove the acceptance of heliocentrism. In Feyerabend’s hands, Galileo became a theatrical figure, a counterweight to the myth of Enlightenment rationality.
Heilbron dismantles this with the precision of someone who has lived in Galileo’s archives. He shows that while Galileo lacked a modern theory of optics, he was not blind to his telescope’s limits. He cross-checked, tested, and refined. He triangulated with terrestrial experiments. He understood that instruments could deceive, and worked around that risk with repetition and caution. The image of Galileo as a showman peddling illusions doesn’t hold up. Galileo, flaws acknowledged, was a working proto-scientist, attentive to the fragility of his tools.
Heilbron doesn’t mythologize Galileo; his 2010 Galileo makes that clear. But he rescues Galileo from Feyerabend’s caricature. In doing so, he models something Against Method never offered: a historically grounded, philosophically rigorous account of how science proceeds when tools are new, ideas unstable, and theory underdetermined by data.
To be clear, Galileo was no model of transparency. He framed the Dialogue as a contest between Copernicus and Ptolemy, though he knew Tycho Brahe’s hybrid system was the more serious rival. He pushed his theory of tides past what his evidence could support, ignoring counterarguments – even from Cardinal Bellarmine – and overstating the case for Earth’s motion.
Heilbron doesn’t conceal these. He details them, but not to dismiss. For him, these distortions are strategic flourishes – acts of navigation by someone operating at the edge of available proof. They’re rhetorical, yes, but grounded in observation, subject to revision, and paid for in methodological care.
That’s where the contrast with Feyerabend sharpens. Feyerabend used Galileo not to advance science, but to challenge its authority. More precisely, to challenge Method as the defining feature of science. His distortions – minimizing Galileo’s caution, questioning the telescope, reimagining inquiry as theater – were made not in pursuit of understanding, but in service of a larger philosophical provocation. This is the line Heilbron quietly draws: Galileo bent the rules to make a case about nature; Feyerabend bent the past to make a case about method.
In his final article, Heilbron makes four points. First, that the Galileo material in Against Method – its argumentative keystone – is historically slippery and intellectually inaccurate. Feyerabend downplays empirical discipline and treats rhetorical flourish as deception. Heilbron doesn’t call this dishonest. He calls it stagecraft.
Second, that Feyerabend’s grasp of classical mechanics, optics, and early astronomy was patchy. His critique of Galileo’s telescope rests on anachronistic assumptions about what Galileo “should have” known. He misses the trial-based, improvisational reasoning of early instrumental science. Heilbron restores that context.
Third, Heilbron credits Feyerabend’s early engagement with quantum mechanics – especially his critique of von Neumann’s no-hidden-variables proof and his alignment with David Bohm’s deterministic alternative. Feyerabend’s philosophical instincts were sharp.
And fourth, Heilbron tracks how Feyerabend’s stance unraveled – oscillating between admiration and disdain for Popper, Bohr, and even his earlier selves. He supported Bohm against Bohr in the 1950s, then defended Bohr against Popper in the 1970s. Heilbron doesn’t call this hypocrisy. He calls it instability built into the project itself: Feyerabend didn’t just critique rationalism – he acted out its undoing. If this sounds like a takedown, it isn’t. It’s a reconstruction – calm, slow, impartial. The rare sort that shows us not just what Feyerabend said, but where he came apart.
Heilbron reminds us what some have forgotten and many more never knew: that Feyerabend was once an insider. Before Against Method, he was embedded in the conceptual heart of quantum theory. He studied Bohm’s challenge to Copenhagen while at LSE, helped organize the 1957 Colston symposium in Bristol, and presented a paper there on quantum measurement theory. He stood among physicists of consequence – Bohr, Bohm, Podolsky, Rosen, Dirac, and Pauli – all struggling to articulate alternatives to an orthodoxy – Copenhagen Interpretation – that they found inadequate.
With typical wit, Heilbron notes that von Neumann’s no-hidden-variables proof “was widely believed, even by people who had read it.” Feyerabend saw that dogma was hiding inside the math – and tried to smoke it out.
Late in life, Feyerabend’s provocations would ripple outward in unexpected directions. In a 1990 lecture at Sapienza University, Cardinal Joseph Ratzinger – later Pope Benedict XVI – quoted Against Method approvingly. He cited Feyerabend’s claim that the Church had been more reasonable than Galileo in the affair that defined their rupture. When Ratzinger’s 2008 return visit was canceled due to protests about that quotation, the irony was hard to miss. The Church, once accused of silencing science, was being silenced by it, and stood accused of quoting a philosopher who spent his life telling scientists to stop pretending they were priests.
We misunderstood Feyerabend not because he misled us, but because we failed to listen the way Heilbron did.
Anarchy and Its Discontents: Paul Feyerabend’s Critics
Posted by Bill Storage in History of Science, Philosophy of Science on June 3, 2025
(For and against Against Method)
Paul Feyerabend’s 1975 Against Method and his related works made bold claims about the history of science, particularly the Galileo affair. He argued that science progressed not because of adherence to any specific method, but through what he called epistemological anarchism. He said that Galileo’s success was due in part to rhetoric, metaphor, and politics, not just evidence.
Some critics, especially physicists and historically rigorous philosophers of science, have pointed out technical and historical inaccuracies in Feyerabend’s treatment of physics. Here are some examples of the alleged errors and distortions:
Misunderstanding Inertial Frames in Galileo’s Defense of Copernicanism
Feyerabend argued that Galileo’s arguments for heliocentrism were not based on superior empirical evidence, and that Galileo used rhetorical tricks to win support. He claimed that Galileo simply lacked any means of distinguishing heliocentric from geocentric models empirically, so his arguments were no more rational than those of Tycho Brahe and other opponents.
His critics responded by saying that Galileo’s arguments based on the phases of Venus and Jupiter’s moons were empirically decisive against the Ptolemaic model. This is unarguable, though whether Galileo had empirical evidence to overthrow Tycho Brahe’s hybrid model is a much more nuanced matter.
Critics like Ronald Giere, John Worrall, and Alan Chalmers (What Is This Thing Called Science?) argued that Feyerabend underplayed how strong Galileo’s observational case actually was. They say Feyerabend confused the issue of whether Galileo had a conclusive argument with whether he had a better argument.
This warrants some unpacking. Specifically, what makes an argument – a model, a theory – better? Criteria might include:
- Empirical adequacy – Does the theory fit the data? (Bas van Fraassen)
- Simplicity – Does the theory avoid unnecessary complexity? (Carl Hempel)
- Coherence – Is it internally consistent? (Paul Thagard)
- Explanatory power – Does it explain more than rival theories? (Wesley Salmon)
- Predictive power – Does it generate testable predictions? (Karl Popper, Hempel)
- Fertility – Does it open new lines of research? (Lakatos)
Some argue that Galileo’s model (Copernicanism, heliocentrism) was obviously simpler than Brahe’s. But simplicity opens another can of philosophical worms. What counts as simple? Fewer entities? Fewer laws? More symmetry? Copernicus had simpler planetary order but required a moving Earth. And Copernicus still relied on epicycles, so heliocentrism wasn’t empirically simpler at first. Given the evidence of the time, a static Earth can be seen as simpler; you don’t need to explain the lack of wind and the “straight” path of falling bodies. Ultimately, this point boils down to aesthetics, not math or science. Galileo and later Newtonians valued mathematical elegance and unification. Aristotelians, the church, and Tychonians valued intuitive compatibility with observed motion.
Feyerabend also downplayed Galileo’s use of the principle of inertia, which was a major theoretical advance and central to explaining why we don’t feel the Earth’s motion.
Misuse of Optical Theory in the Case of Galileo’s Telescope
Feyerabend argued that Galileo’s use of the telescope was suspect because Galileo had no good optical theory and thus no firm epistemic ground for trusting what he saw.
His critics say that while Galileo didn’t have a fully developed geometrical optics theory (e.g., no wave theory of light), his empirical testing and calibration of the telescope were rigorous by the standards of the time.
Feyerabend is accused of anachronism – judging Galileo’s knowledge of optics by modern standards and therefore misrepresenting the robustness of his observational claims. Historians like Mario Biagioli and Stillman Drake point out that Galileo cross-verified telescope observations with the naked eye and used repetition, triangulation, and replication by others to build credibility.
Equating All Theories as Rhetorical Equals
Feyerabend in some parts of Against Method claimed that rival theories in the history of science were only judged superior in retrospect, and that even “inferior” theories like astrology or Aristotelian cosmology had equal rational footing at the time.
Historians like Steven Shapin (How to be Antiscientific) and David Wootton (The Invention of Science) say that this relativism erases real differences in how theories were judged even in Galileo’s time. While not elaborated in today’s language, Galileo and his rivals clearly saw predictive power, coherence, and observational support as fundamental criteria for choosing between theories.
Feyerabend’s polemical, theatrical tone often flattened the epistemic distinctions that working scientists and philosophers actually used, especially during the Scientific Revolution. His analysis of “anything goes” often ignored the actual disciplinary practices of science, especially in physics.
Failure to Grasp the Mathematical Structure of Physics
Scientists – those broad enough to know who Feyerabend was – often claim that he misunderstood or ignored the role of mathematics in theory-building, especially in Newtonian mechanics and post-Galilean developments. In Against Method, Feyerabend emphasizes metaphor and persuasion over mathematics. While this critique is valuable when aimed at the rhetorical and political sides of science, it underrates the internal mathematical constraints that shape physical theories, even for Galileo.
Imre Lakatos, his friend and critic, called Feyerabend’s work a form of “intellectual sabotage”, arguing that he distorted both the history and logic of physics.
Misrepresenting Quantum Mechanics
Feyerabend wrote about Bohr and Heisenberg in Philosophical Papers and later essays. Critics like Abner Shimony and Mario Bunge charge that Feyerabend misrepresented or misunderstood Bohr’s complementarity as relativistic, when Bohr’s position was more subtle and aimed at objective constraints on language and measurement.
Feyerabend certainly fails to understand the mathematical formalism underpinning Quantum Mechanics. This weakens his broader claims about theory incommensurability.
Feyerabend’s erroneous critique of Neil’s Bohr is seen in his 1958 Complimentarity:
“Bohr’s point of view may be introduced by saying that it is the exact opposite of [realism]. For Bohr the dual aspect of light and matter is not the deplorable consequence of the absence of a satisfactory theory, but a fundamental feature of the microscopic level. For him the existence of this feature indicates that we have to revise … the [realist] ideal of explanation.” (more on this in an upcoming post)
Epistemic Complaints
Beyond criticisms that he failed to grasp the relevant math and science, Feyerabend is accused of selectively reading or distorting historical episodes to fit the broader rhetorical point that science advances by breaking rules, and that no consistent method governs progress. Feyerabend’s claim that in science “anything goes” can be seen as epistemic relativism, leaving no rational basis to prefer one theory over another or to prefer science over astrology, myth, or pseudoscience.
Critics say Feyerabend blurred the distinction between how theories are argued (rhetoric) and how they are justified (epistemology). He is accused of conflating persuasive strategy with epistemic strength, thereby undermining the very principle of rational theory choice.
Some take this criticism to imply that methodological norms are the sole basis for theory choice. Feyerabend’s “anarchism” may demolish authority, but is anything left in its place except a vague appeal to democratic or cultural pluralism? Norman Levitt and Paul Gross, especially in Higher Superstition: The Academic Left and Its Quarrels with Science (1994), argue this point, along with saying Feyerabend attacked a caricature of science.
Personal note/commentary: In my view, Levitt and Gross did some great work, but Higher Superstition isn’t it. I bought the book shortly after its release because I was disgusted with weaponized academic anti-rationalism, postmodernism, relativism, and anti-science tendencies in the humanities, especially those that claimed to be scientific. I was sympathetic to Higher Superstition’s mission but, on reading it, was put off by its oversimplifications and lack of philosophical depth. Their arguments weren’t much better than those of the postmodernists. Critics of science in the humanities critics overreached and argued poorly, but they were responding to legitimate concerns in the philosophy of science. Specifically:
- Underdetermination – Two incompatible theories often fit the same data. Why do scientists prefer one over another? As Kuhn argued, social dynamics play a role.
- Theory-laden Observations – Observations are shaped by prior theory and assumptions, so science is not just “reading the book of nature.”
- Value-laden Theories – Public health metrics like life expectancy and morbidity (opposed to autonomy or quality of life) trickle into epidemiology.
- Historical Variability of Consensus – What’s considered rational or obvious changes over time (phlogiston, luminiferous ether, miasma theory).
- Institutional Interest and Incentives – String theory’s share of limited research funding, climate science in service of energy policy and social agenda.
- The Problem of Reification – IQ as a measure of intelligence has been reified in policy and education, despite deep theoretical and methodological debates about what it measures.
- Political or Ideological Capture – Marxist-Leninist science and eugenics were cases where ideology shaped what counted as science.
Higher Superstition and my unexpected negative reaction to it are what brought me to the discipline of History and Philosophy of Science.
Conclusion
Feyerabend exaggerated the uncertainty of early modern science, downplayed the empirical gains Galileo and others made, and misrepresented or misunderstood some of the technical content of physics. His mischievous rhetorical style made it hard to tell where serious argument ended and performance began. Rather than offering a coherent alternative methodology, Feyerabend’s value lay in exposing the fragility and contingency of scientific norms. He made it harder to treat methodological rules as timeless or universal by showing how easily they fracture under the pressure of real historical cases.
In a following post, I’ll review the last piece John Heilbron wrote before he died, Feyerabend, Bohr and Quantum Physics, which appeared in Stefano Gattei’s Feyerabend in Dialogue, a set of essays marking the 100th anniversary of Feyerabend’s birth.
Paul Feyerabend. Photo courtesy of Grazia Borrini-Feyerabend.
John Heilbron Interview – June 2012
Posted by Bill Storage in History of Science, Philosophy of Science on June 2, 2025
In 2012, I spoke with John Heilbron, historian of science and Professor Emeritus at UC Berkeley, about his career, his work with Thomas Kuhn, and the legacy of The Structure of Scientific Revolutions on its 50th anniversary. We talked late into the night. The conversation covered his shift from physics to history, his encounters with Kuhn and Paul Feyerabend, and his critical take on the direction of Science and Technology Studies (STS).
The interview marked a key moment. Kuhn and Feyerabend’s legacies were under fresh scrutiny, and STS was in the midst of redefining itself, often leaning toward sociological frameworks at the expense of other approaches.
Thirteen years later, in 2025, this commentary revisits that interview to illuminate its historical context, situate Heilbron’s critiques, and explore their relevance to contemporary STS and broader academic debates.
Over more than a decade, I had ongoing conversations with Heilbron about the evolution of the history of science – history of the history of science – and the complex relationship between History of Science and Science, Technology, and Society (STS) programs. At UC Berkeley, unlike at Harvard or Stanford, STS has long remained a “Designated Emphasis” rather than a department or standalone degree. Academic conservatism in departmental structuring, concerns about reputational risk, and questions about the epistemic rigor of STS may all have contributed to this decision. Moreover, Berkeley already boasted world-class departments in both History and Sociology.
That 2012 interview, the only one we recorded, brought together themes we’d explored over many years. Since then, STS has moved closer to engaging with scientific content itself. But it still draws criticism, both from scientists and from public misunderstanding. In 2012, the field was still heavily influenced by sociological models, particularly the Strong Programme and social constructivism, which stressed how scientific knowledge is shaped by social context. One of the key texts in this tradition, Shapin and Schaffer’s Leviathan and the Air-Pump (1985), argued that even Boyle’s experiments weren’t simply about discovery but about constructing scientific consensus.
Heilbron pushed back against this framing. He believed it sidelined the technical and epistemic depth of science, reducing STS to a sociological critique. He was especially wary of the dense, abstract language common in constructivist work. In his view, it often served as cover for thin arguments, especially from younger scholars who copied the style but not the substance. He saw it as a tactic: establish control of the conversation by embedding a set of terms, then build influence from there.
The influence of Shapin and Schaffer, Heilbron argued, created the impression that STS was dominated by a single paradigm, ironically echoing the very Kuhnian framework they analyzed. His frustration with a then-recent Isis review reflected his concern that constructivism had become doctrinaire, pressuring scholars to conform to its methods even when irrelevant to their work. His reference to “political astuteness” pointed to the way in which key figures in the field successfully advanced their terminology and frameworks, gaining disproportionate influence. While this gave them intellectual clout, Heilbron saw it as a double-edged sword: it strengthened their position while encouraging dogmatism among followers who prioritized jargon over genuine analysis.
Bill Storage: How did you get started in this curious interdisciplinary academic realm?
John Heilbron: Well, it’s not really very interesting, but I was a graduate student in physics but my real interest was history. So at some point I went down to the History department and found the medievalist, because I wanted to do medieval history. I spoke with the medievalist ad he said, “well, that’s very charming but you know the country needs physicists and it doesn’t need medievalists, so why don’t you go back to physics.” Which I duly did. But he didn’t bother to point out that there was this guy Kuhn in the History department who had an entirely different take on the subject than he did. So finally I learned about Kuhn and went to see him. Since Kuhn had very few students, I looked good; and I gradually I worked my way free from the Physics department and went into history. My PhD is in History; and I took a lot history courses and, as I said, history really is my interest. I’m interested in science too of course but I feel that my major concerns are historical and the writing of history is to me much more interesting and pleasant than calculations.
You entered that world at a fascinating time, when history of science – I’m sure to the surprise of most of its scholars – exploded onto the popular scene. Kuhn, Popper, Feyerabend and Lakatos suddenly appeared in The New Yorker, Life Magazine, and The Christian Century. I find that these guys are still being read, misread and misunderstood by many audiences. And that seems to be true even for their intended audiences – sometimes by philosophers and historians of science – certainly by scientists. I see multiple conflicting readings that would seem to show that at least some of them are wrong.
Well if you have two or more different readings then I guess that’s a safe conclusion. (Laughs.)
You have a problem with multiple conflicting truths…? Anyway – misreading Kuhn…
I’m more familiar with the misreading of Kuhn than of the others. I’m familiar with that because he was himself very distressed by many of the uses made of his work – particularly the notion that science is no different from art or has no stronger basis than opinion. And that bothered him a lot.
I don’t know your involvement in his work around that time. Can you tell me how you relate to what he was doing in that era?
I got my PhD under him. In fact my first work with him was hunting up footnotes for Structure. So I knew the text of the final draft well – and I knew him quite well during the initial reception of it. And then we all went off together to Copenhagen for a physics project and we were all thrown together a lot. So that was my personal connection and then of course I’ve been interested subsequently in Structure, as everybody is bound to be in my line of work. So there’s no doubt, as he says so in several places, that he was distressed by the uses made of it. And that includes uses made in the history of science particularly by the social constructionists, who try to do without science altogether or rather just to make it epiphenomenal on political or social forces.
I’ve read opinions by others who were connected with Kuhn saying there was a degree of back-peddling going by Kuhn in the 1970s. The implication there is that he really did intend more sociological commentary than he later claimed. Now I don’t see evidence of that in the text of Structure, and incidents like his telling Freeman Dyson that he (Kuhn) was not a Kuhnian would suggest otherwise. Do you have any thoughts on that?
I think that one should keep in mind the purpose of Structure, or rather the context in which it was produced. It was supposed to have been an article in this encyclopedia of unified science and Kuhn’s main interest was in correcting philosophers. He was not aiming for historians even. His message was that the philosophy practiced by a lot of positivists and their description of science was ridiculous because it didn’t pay any attention to the way science was actually done. So Kuhn was going to tell them how science was done, in order to correct philosophy. But then much to his surprise he got picked up by people for whom it was not written, who derived from it the social constructionist lesson that we’re all familiar with. And that’s why he was an unexpected rebel. But he did expect to be rebellious; that was the whole point. It’s just that the object of his rebellion was not history or science but philosophy.
So in that sense it would seem that Feyerabend’s question on whether Kuhn intended to be prescriptive versus descriptive is answered. It was not prescriptive.
Right – not prescriptive to scientists. But it was meant to be prescriptive to the philosophers – or at least normalizing – so that they would stop being silly and would base their conception of scientific progress on the way in which scientists actually went about their business. But then the whole thing got too big for him and he got into things that, in my opinion, really don’t have anything to do with his main argument. For example, the notion of incommensurability, which was not, it seems to me, in the original program. And it’s a logical construct that I don’t think is really very helpful, and he got quite hung up on that and seemed to regard that as the most important philosophical message from Structure.
I wasn’t aware that he saw it that way. I’m aware that quite a few others viewed it like that. Paul Feyerabend, in one of his last books, said that he and Kuhn kicked around this idea of commensurability in 1960 and had slightly different ideas about where to go with it. Feyerabend said Kuhn wanted to use it historically whereas his usage was much more abstract. I was surprised at the level of collaboration indicated by Feyerabend.
Well they talked a lot. They were colleagues. I remember parties at Kuhn’s house where Feyerabend would show up with his old white T shirt and several women – but that’s perhaps irrelevant to the main discussion. They were good friends. I got along quite well with Feyerabend too. We had discussions about the history of quantum physics and so on. The published correspondence between Feyerabend and Lakatos is relevant here. It’s rather interesting in that the person we’ve left out of the discussion so far, Karl Popper, was really the lighthouse for Feyerabend and Lakatos, but not for Kuhn. And I think that anybody who wants to get to the bottom of the relationship between Kuhn and Feyerabend needs to consider the guy out of the frame, who is Popper.
It appears Feyerabend was very critical of Kuhn and Structure at the time it was published. I think at that point Feyerabend was still essentially a Popperian. It seems Feyerabend reversed position on that over the next decade or so.
JH: Yes, at the time in question, around 1960, when they had these discussions, I think Feyerabend was still very much in Popper’s camp. Of course like any bright student, he disagreed with his professor about things.
How about you, as a bright student in 1960 – what did you disagree with your professor, Kuhn, about?
Well I believe in the proposition that philosophers and historians have different metabolisms. And I’m metabolically a historian and Kuhn was metabolically a philosopher – even though he did write history. But his most sustained piece of history of science was his book on black body theory; and that’s very narrowly intellectualist in approach. It’s got nothing to do with the themes of the structure of scientific revolutions – which does have something to say for the historian – but he was not by practice a historian. He didn’t like a whole lot of contingent facts. He didn’t like archival and library work. His notion of fun was take a few texts and just analyze and reanalyze them until he felt he had worked his way into the mind of their author. I take that to be a necromantic feat that’s not really possible.
I found that he was a very clever guy and he was excellent as a professor because he was very interested in what you were doing as soon it was something he thought he could make some use of. And that gave you the idea that you were engaged in something important, so I must give him that. On the other hand he just didn’t have the instincts or the knowledge to be a historian and so I found myself not taking much from his own examples. Once I had an argument with him about some way of treating a historical subject and I didn’t feel that I got anything out of him. Quite the contrary; I thought that he just ducked all the interesting issues. But that was because they didn’t concern him.
James Conant, president of Harvard who banned communists, chair of the National Science Foundation, etc.: how about Conant’s influence on Structure?
It’s not just Conant. It was the whole Harvard circle, of which Kuhn was part. There was this guy, Leonard Nash; there was Gerald Holton. And these guys would get together and l talk about various things having to do with the relationship between science and the public sphere. It was a time when Conant was fighting for the National Science Foundation and I think that this notion of “normal science” in which the scientists themselves must be left fully in charge of what they’re doing in order to maximize the progress within the paradigm to bring the profession swiftly to the next revolution – that this is essentially the Conant doctrine with respect to the ground rules of the National Science Foundation, which is “let the scientists run it.” So all those things were discussed. And you can find many bits of Kuhn’s Structure in that discussion. For example, the orthodoxy of normal science in, say, Bernard Cohen, who didn’t make anything of it of course. So there’s a lot of this Harvard group in Structure, as well as certain lessons that Kuhn took from his book on the Copernican Revolution, which was the textbook for the course he gave under Conant. So yes, I think Conant’s influence is very strong there.
So Kuhn was ultimately a philosopher where you are a historian. I think I once heard you say that reading historical documents does not give you history.
Well I agree with that, but I don’t remember that I was clever enough to say it.
Assuming you said it or believe it, then what does give you history?
Well, reading them is essential, but the part contributed by the historian is to make some sense of all the waste paper he’s been reading. This is essentially a construction. And that’s where the art, the science, the technique of the historian comes into play, to try to make a plausible narrative that has to satisfy certain rules. It can’t go against the known facts and it can’t ignore the new facts that have come to light through the study of this waste paper, and it can’t violate rules of verisimilitude, human action and whatnot. But otherwise it’s a construction and you’re free to manipulate your characters, and that’s what I like about it.
So I take it that’s where the historian’s metabolism comes into play – avoidance of leaping to conclusions with the facts.
True, but at some point you’ve got to make up a story about those facts.
Ok, I’ve got a couple questions on the present state of affairs – and this is still related to the aftermath of Kuhn. From attending colloquia, I sense that STS is nearly a euphemism for sociology of science. That bothers me a bit, possibly because I’m interested in the intersection of science, technology and society. Looking at the core STS requirements on Stanford’s website, I see few courses listed that would give a student any hint of what science looks like from the inside.
I’m afraid you’re only too right. I’ve got nothing against sociology of science, the study of scientific institutions, etc. They’re all very good. But they’re tending to leave the science out, and in my opinion, the further they get from science, the worse their arguments become. That’s what bothers me perhaps most of all – the weakness of the evidentiary base of many of the arguments and conclusions that are put forward.
I thought we all learned a bit from the Science Wars – thought that sort of indeterminacy of meaning and obfuscatory language was behind us. Either it’s back, or it never went away.
Yeah, the language part is an important aspect of it, and even when the language is relatively comprehensible as I think it is in, say, constructivist history of science – by which I mean the school of Schaffer and Shapin – the insistence on peculiar argot becomes a substitute for thought. You see it quite frequently in people less able than those two guys are, who try to follow in their footsteps. You get words strung together supposedly constituting an argument but which in fact don’t. I find that quite an interesting aspect of the business, and very astute politically on the part of those guys because if you can get your words into the discourse, why, you can still hope to have influence. There’s a doctrinaire aspect to it. I was just reading the current ISIS favorable book review by one of the fellow travelers of this group. The book was not written by one of them. The review was rather complimentary but then at the end says it is a shame that this author did not discuss her views as related to Schaffer and Shapin. Well, why the devil should she? So, yes, there’s issues of language, authority, and poor argumentation. STS is afflicted by this, no doubt.
Extraordinary Popular Miscarriages of Science, Part 6 – String Theory
Posted by Bill Storage in History of Science, Philosophy of Science on May 3, 2025
Introduction: A Historical Lens on String Theory
In 2006, I met John Heilbron, widely credited with turning the history of science from an emerging idea into a professional academic discipline. While James Conant and Thomas Kuhn laid the intellectual groundwork, it was Heilbron who helped build the institutions and frameworks that gave the field its shape. Through John I came to see that the history of science is not about names and dates – it’s about how scientific ideas develop, and why. It explores how science is both shaped by and shapes its cultural, social, and philosophical contexts. Science progresses not in isolation but as part of a larger human story.
The “discovery” of oxygen illustrates this beautifully. In the 18th century, Joseph Priestley, working within the phlogiston theory, isolated a gas he called “dephlogisticated air.” Antoine Lavoisier, using a different conceptual lens, reinterpreted it as a new element – oxygen – ushering in modern chemistry. This was not just a change in data, but in worldview.
When I met John, Lee Smolin’s The Trouble with Physics had just been published. Smolin, a physicist, critiques string theory not from outside science but from within its theoretical tensions. Smolin’s concerns echoed what I was learning from the history of science: that scientific revolutions often involve institutional inertia, conceptual blind spots, and sociopolitical entanglements.
My interest in string theory wasn’t about the physics. It became a test case for studying how scientific authority is built, challenged, and sustained. What follows is a distillation of 18 years of notes – string theory seen not from the lab bench, but from a historian’s desk.
A Brief History of String Theory
Despite its name, string theory is more accurately described as a theoretical framework – a collection of ideas that might one day lead to testable scientific theories. This alone is not a mark against it; many scientific developments begin as frameworks. Whether we call it a theory or a framework, it remains subject to a crucial question: does it offer useful models or testable predictions – or is it likely to in the foreseeable future?
String theory originated as an attempt to understand the strong nuclear force. In 1968, Gabriele Veneziano introduced a mathematical formula – the Veneziano amplitude – to describe the scattering of strongly interacting particles such as protons and neutrons. By 1970, Pierre Ramond incorporated supersymmetry into this approach, giving rise to superstrings that could account for both fermions and bosons. In 1974, Joël Scherk and John Schwarz discovered that the theory predicted a massless spin-2 particle with the properties of the hypothetical graviton. This led them to propose string theory not as a theory of the strong force, but as a potential theory of quantum gravity – a candidate “theory of everything.”
Around the same time, however, quantum chromodynamics (QCD) successfully explained the strong force via quarks and gluons, rendering the original goal of string theory obsolete. Interest in string theory waned, especially given its dependence on unobservable extra dimensions and lack of empirical confirmation.
That changed in 1984 when Michael Green and John Schwarz demonstrated that superstring theory could be anomaly-free in ten dimensions, reviving interest in its potential to unify all fundamental forces and particles. Researchers soon identified five mathematically consistent versions of superstring theory.
To reconcile ten-dimensional theory with the four-dimensional spacetime we observe, physicists proposed that the extra six dimensions are “compactified” into extremely small, curled-up spaces – typically represented as Calabi-Yau manifolds. This compactification allegedly explains why we don’t observe the extra dimensions.
In 1995, Edward Witten introduced M-theory, showing that the five superstring theories were different limits of a single 11-dimensional theory. By the early 2000s, researchers like Leonard Susskind and Shamit Kachru began exploring the so-called “string landscape” – a space of perhaps 10^500 (1 followed by 500 zeros) possible vacuum states, each corresponding to a different compactification scheme. This introduced serious concerns about underdetermination – the idea that available empirical evidence cannot determine which among many competing theories is correct.
Compactification introduces its own set of philosophical problems. Critics Lee Smolin and Peter Woit argue that compactification is not a prediction but a speculative rationalization: a move designed to save a theory rather than derive consequences from it. The enormous number of possible compactifications (each yielding different physics) makes string theory’s predictive power virtually nonexistent. The related challenge of moduli stabilization – specifying the size and shape of the compact dimensions – remains unresolved.
Despite these issues, string theory has influenced fields beyond high-energy physics. It has informed work in cosmology (e.g., inflation and the cosmic microwave background), condensed matter physics, and mathematics (notably algebraic geometry and topology). How deep and productive these connections run is difficult to assess without domain-specific expertise that I don’t have. String theory has, in any case, produced impressive mathematics. But mathematical fertility is not the same as scientific validity.
The Landscape Problem
Perhaps the most formidable challenge string theory faces is the landscape problem: the theory allows for an enormous number of solutions – on the order of 10^500. Each solution represents a possible universe, or “vacuum,” with its own physical constants and laws.
Why so many possibilities? The extra six dimensions required by string theory can be compactified in myriad ways. Each compactification, combined with possible energy configurations (called fluxes), gives rise to a distinct vacuum. This extreme flexibility means string theory can, in principle, accommodate nearly any observation. But this comes at the cost of predictive power.
Critics argue that if theorists can forever adjust the theory to match observations by choosing the right vacuum, the theory becomes unfalsifiable. On this view, string theory looks more like metaphysics than physics.
Some theorists respond by embracing the multiverse interpretation: all these vacua are real, and our universe is just one among many. The specific conditions we observe are then attributed to anthropic selection – we could only observe a universe that permits life like us. This view aligns with certain cosmological theories, such as eternal inflation, in which different regions of space settle into different vacua. But eternal inflation can exist independent of string theory, and none of this has been experimentally confirmed.
The Problem of Dominance
Since the 1980s, string theory has become a dominant force in theoretical physics. Major research groups at Harvard, Princeton, and Stanford focus heavily on it. Funding and institutional prestige have followed. Prominent figures like Brian Greene have elevated its public profile, helping transform it into both a scientific and cultural phenomenon.
This dominance raises concerns. Critics such as Smolin and Woit argue that string theory has crowded out alternative approaches like loop quantum gravity or causal dynamical triangulations. These alternatives receive less funding and institutional support, despite offering potentially fruitful lines of inquiry.
In The Trouble with Physics, Smolin describes a research culture in which dissent is subtly discouraged and young physicists feel pressure to align with the mainstream. He worries that this suppresses creativity and slows progress.
Estimates suggest that between 1,000 and 5,000 researchers work on string theory globally – a significant share of theoretical physics resources. Reliable numbers are hard to pin down.
Defenders of string theory argue that it has earned its prominence. They note that theoretical work is relatively inexpensive compared to experimental research, and that string theory remains the most developed candidate for unification. Still, the issue of how science sets its priorities – how it chooses what to fund, pursue, and elevate – remains contentious.
Wolfgang Lerche of CERN once called string theory “the Stanford propaganda machine working at its fullest.” As with climate science, 97% of string theorists agree that they don’t want to be defunded.
Thomas Kuhn’s Perspective
The logical positivists and Karl Popper would almost certainly dismiss string theory as unscientific due to its lack of empirical testability and falsifiability – core criteria in their respective philosophies of science. Thomas Kuhn would offer a more nuanced interpretation. He wouldn’t label string theory unscientific outright, but would express concern over its dominance and the marginalization of alternative approaches. In Kuhn’s framework, such conditions resemble the entrenchment of a paradigm during periods of normal science, potentially at the expense of innovation.
Some argue that string theory fits Kuhn’s model of a new paradigm, one that seeks to unify quantum mechanics and general relativity – two pillars of modern physics that remain fundamentally incompatible at high energies. Yet string theory has not brought about a Kuhnian revolution. It has not displaced existing paradigms, and its mathematical formalism is often incommensurable with traditional particle physics. From a Kuhnian perspective, the landscape problem may be seen as a growing accumulation of anomalies. But a paradigm shift requires a viable alternative – and none has yet emerged.
Lakatos and the Degenerating Research Program
Imre Lakatos offered a different lens, seeing science as a series of research programs characterized by a “hard core” of central assumptions and a “protective belt” of auxiliary hypotheses. A program is progressive if it predicts novel facts; it is degenerating if it resorts to ad hoc modifications to preserve the core.
For Lakatos, string theory’s hard core would be the idea that all particles are vibrating strings and that the theory unifies all fundamental forces. The protective belt would include compactification schemes, flux choices, and moduli stabilization – all adjusted to fit observations.
Critics like Sabine Hossenfelder argue that string theory is a degenerating research program: it absorbs anomalies without generating new, testable predictions. Others note that it is progressive in the Lakatosian sense because it has led to advances in mathematics and provided insights into quantum gravity. Historians of science are divided. Johansson and Matsubara (2011) argue that Lakatos would likely judge it degenerating; Cristin Chall (2019) offers a compelling counterpoint.
Perhaps string theory is progressive in mathematics but degenerating in physics.
The Feyerabend Bomb
Paul Feyerabend, who Lee Smolin knew from his time at Harvard, was the iconoclast of 20th-century philosophy of science. Feyerabend would likely have dismissed string theory as a dogmatic, aesthetic fantasy. He might write something like:
“String theory dazzles with equations and lulls physics into a trance. It’s a mathematical cathedral built in the sky, a triumph of elegance over experience. Science flourishes in rebellion. Fund the heretics.”
Even if this caricature overshoots, Feyerabend’s tools offer a powerful critique:
- Untestability: String theory’s predictions remain out of reach. Its core claims – extra dimensions, compactification, vibrational modes – cannot be tested with current or even foreseeable technology. Feyerabend challenged the privileging of untested theories (e.g., Copernicanism in its early days) over empirically grounded alternatives.
- Monopoly and suppression: String theory dominates intellectual and institutional space, crowding out alternatives. Eric Weinstein recently said, in Feyerabendian tones, “its dominance is unjustified and has resulted in a culture that has stifled critique, alternative views, and ultimately has damaged theoretical physics at a catastrophic level.”
- Methodological rigidity: Progress in string theory is often judged by mathematical consistency rather than by empirical verification – an approach reminiscent of scholasticism. Feyerabend would point to Johannes Kepler’s early attempt to explain planetary orbits using a purely geometric model based on the five Platonic solids. Kepler devoted 17 years to this elegant framework before abandoning it when observational data proved it wrong.
- Sociocultural dynamics: The dominance of string theory stems less from empirical success than from the influence and charisma of prominent advocates. Figures like Brian Greene, with their public appeal and institutional clout, help secure funding and shape the narrative – effectively sustaining the theory’s privileged position within the field.
- Epistemological overreach: The quest for a “theory of everything” may be misguided. Feyerabend would favor many smaller, diverse theories over a single grand narrative.
Historical Comparisons
Proponents say other landmark theories emerging from math predated their experimental confirmation. They compare string theory to historical cases. Examples include:
- Planet Neptune: Predicted by Urbain Le Verrier based on irregularities in Uranus’s orbit, observed in 1846.
- General Relativity: Einstein predicted the bending of light by gravity in 1915, confirmed by Arthur Eddington’s 1919 solar eclipse measurements.
- Higgs Boson: Predicted by the Standard Model in the 1960s, observed at the Large Hadron Collider in 2012.
- Black Holes: Predicted by general relativity, first direct evidence from gravitational waves observed in 2015.
- Cosmic Microwave Background: Predicted by the Big Bang theory (1922), discovered in 1965.
- Gravitational Waves: Predicted by general relativity, detected in 2015 by the Laser Interferometer Gravitational-Wave Observatory (LIGO).
But these examples differ in kind. Their predictions were always testable in principle and ultimately tested. String theory, in contrast, operates at the Planck scale (~10^19 GeV), far beyond what current or foreseeable experiments can reach.
Special Concern Over Compactification
A concern I have not seen discussed elsewhere – even among critics like Smolin or Woit – is the epistemological status of compactification itself. Would the idea ever have arisen apart from the need to reconcile string theory’s ten dimensions with the four-dimensional spacetime we experience?
Compactification appears ad hoc, lacking grounding in physical intuition. It asserts that dimensions themselves can be small and curled – yet concepts like “small” and “curled” are defined within dimensions, not of them. Saying a dimension is small is like saying that time – not a moment in time, but time itself – can be “soon” or short in duration. It misapplies the very conceptual framework through which such properties are understood. At best, it’s a strained metaphor; at worst, it’s a category mistake and conceptual error.
This conceptual inversion reflects a logical gulf that proponents overlook or ignore. They say compactification is a mathematical consequence of the theory, not a contrivance. But without grounding in physical intuition – a deeper concern than empirical support – compactification remains a fix, not a forecast.
Conclusion
String theory may well contain a correct theory of fundamental physics. But without any plausible route to identifying it, string theory as practiced is bad science. It absorbs talent and resources, marginalizes dissent, and stifles alternative research programs. It is extraordinarily popular – and a miscarriage of science.
Extraordinary Popular Miscarriages of Science, Part 5 – Climate Science
Posted by Bill Storage in History of Science on April 6, 2025
NASA reports that ninety-seven percent of climate scientists agree that human-caused climate change is happening.
As with earlier posts on popular miscarriages of science, I look at climate science through the lens of the 20th century historians of science and philosophers of science and conclude that climate science is epistemically thin.
To elaborate a bit, most sensible folk accept that climate science addresses a potentially critical concern and that it has many earnest and talented practitioners. Despite those practitioners, it can be critiqued as bad science. We can do that without delving into the levels or claims, disputations, and counterarguments on relationships between ice cores, CO₂ concentrations and temperature. We can instead use the perspectives of prominent historians and philosophers of science of the 20th century, including the Logical Positivists in general, positivist Carl Hempel in particular, Karl Popper, Thomas Kuhn, Imre Lakatos, and Paul Feyerabend. Each perspective offers a distinct philosophical lens that highlights shortcomings in climate science’s methodologies and practices. I’ll explain each of those perspectives, why I think they’re important, and I’ll explore the critiques they would likely advance. These critiques don’t invalidate climate science conceptually as a field of inquiry but they highlight serious logical and philosophical concerns about its methodologies, practices, and epistemic foundations.
The historians and philosophers invoked here were fundamentally concerned with the demarcation problem: how to differentiate good science, bad science, and pseudoscience using a methodological perspective. They didn’t necessarily agree with each other. In some cases, like Kuhn versus Popper, they outright despised each other. All were flawed, but they were giants who shone brightly and presented systematic visions of how science works and what good science is.
Carnap, Ayer and the Positivists: Verification
The early Logical Positivists, particularly Rudolf Carnap and A.J. Ayer, saw empirical verification as the cornerstone of scientific claims. To be meaningful, a claim must be testable through observation or experiment. Climate science, while rooted in empirical data, struggles with verifiability because of its focus on long-term, global phenomena. Predictions about future consequences like sea level change, crop yield, hurricane frequency, and average temperature are not easily verifiable within a human lifespan or with current empirical methods. That might merely suggest that climate science is hard, not that it is bad. But decades of past predictions and retrodictions have been notoriously poor. Consequently, theories have been continuously revised in light of failed predictions. The reliance on indirect evidence – proxy data and computer simulations – rather than controlled experiments (which would be impossible or unethical) would not satisfy the positivists’ demand for direct, observable confirmation. Climatologist Michael Mann (originator of the “hockey stick” graph) often refers to climate simulation results as data. It is not – not in any sense that a positivist would use the term data. Positivists would see these difficulties and predictive failures as falling short of their strict criteria for scientific legitimacy.
Carl Hempel: Absence of Appeal to Universal Laws
The philosophy of Carl Hempel centered on the deductive-nomological model (aka covering-law model), which holds that scientific explanations should be derived from universal, timeless laws of nature combined with deductive logic about specific sense observations (empirical data). For Hempel, explanation and prediction were two sides of the same coin. If you can’t predict, then you cannot explain. For Hempel to judge a scientific explanation valid, deductive logic applied to laws of nature must confer nomic expectability upon the phenomenon being explained.
Climate science rarely operates with the kinds of laws of nature Hempel considered suitably general, simple, and verifiable. Instead, it relies on statistical correlations and computer models such as linking CO₂ concentrations to temperature increases through statistical trends, rather than strict, law-like statements. These approaches contrast with Hempel’s ideal of deductive certifiability. Scientific explanations should, by Hempel’s lights, be structured as deductive arguments, where the truth of the premises (law of nature plus initial conditions plus empirical data) entails the truth of the phenomenon to be explained. Without universal laws to anchor its explanations, climate science would appear to Hempel to lack the logical rigor of good science. On Hempel’s view, climate science’s dependence on complex models having parameters that are constantly re-tuned further weakens its explanatory power.
Hempel’s deductive-nomological model was a solid effort at removing causality from scientific explanations, something the positivists, following David Hume, thought to be too metaphysical. The deductive-nomological model ultimately proved unable to bear the load Hempel wanted it to carry. Scientific explanation doesn’t work in certain cases without appeal to the notion of causality. That failure of Hempel’s model doesn’t weaken its criticism of climate science, or criticism of any other theory, however. It merely limits the deductive-nomological model’s ability to defend a theory by validating its explanations.
Karl Popper: Falsifiability
Karl Popper’s central criterion for demarcating good science from bad science and pseudoscience is falsifiability. A scientific theory, in his view, must make risky predictions that can be tested and potentially proven false. If a theory could not in principle be falsified, it does not belong to the realm of science.
The predictive models of climate science face severe challenges under this criterion. Climate models often project long-term trends, typically, global temperature increases over decades or centuries, which are probabilistic and difficult to test. Shorter-term, climate science has made abundant falsifiable predictions that were in fact falsified. Popper would initially see this as a mark of bad science, rather than pseudoscience.
But climate scientists have frequently adjusted their models or invoked external factors like previously unknown aerosol concentrations or volcanic eruptions to explain discrepancies. This would make climate science look, to Popper, too much like scientific Marxism and psychoanalysis, both of which he condemned for accommodating all possible outcomes to a prediction. When global temperatures temporarily stabilize or decrease, climate scientists often argue that natural variability is masking a long-term trend, rather than conceding a flaw in the theory. On this point, Popper would see climate science more akin to pseudoscience, since it lacks clear, testable predictions that could definitively refute its core claims.
For Popper, climate science must vigorously court skepticism and invite attempts at disputation and refutation, especially from dissenting insiders like Tol, Curry, and Michaels (more on below). Instead, climate science brands them as traitors.
Thomas Kuhn: Paradigm Rigidity
Thomas Kuhn agreed that Popper’s notion of falsifiability was how scientists think they behave, eager to subject their theories to disconfirmation. But scientific institutions don’t behave like that. Kuhn described science as progressing through paradigms, the frameworks, shared within a scientific community, that define normal scientific practice, periodically interrupted by revolutionary shifts, with a new theory displacing an older one.
A popular criticism of climate science is that science is not based on consensus. Kuhn would disagree, arguing that all scientific paradigms are fundamentally consensus-based.
“Normal science” for Kuhn was the state of things in a paradigm where most activity is aimed at defending the paradigm, thereby rationalizing the rejection of any evidence that disconfirms its theories. In this sense, everyday lab-coat scientists are some of the least scientific of professionals.
“Even in physics,” wrote Kuhn, “there is no standard higher than the assent of the relevant community.” So for Kuhn, evidence does not completely speak for itself, since assent about what evidence exists (Is that blip on the chart a Higgs boson or isn’t it?) must exist within the community for a theory to show consistency with observation. Climate science, more than any current paradigm except possibly string theory, has built high walls around its dominant theory.
That theory is the judgement, conclusion, or belief that human activity, particularly CO₂ emissions, has driven climate change for 150 years and will do so at an accelerated pace in the future. The paradigm virtually ensures that the vast majority of climate scientists agree with the theory because the theory is the heart of the paradigm, as Kuhn would see it. Within a paradigm, Kuhn accepts the role of consensus, but he wants outsiders to be able to overthrow the paradigm.
Given the relevant community’s insularity, Kuhn would see climate scientists’ claim that the anthropogenic warming theory is consistent with all their data as a case of anomalies being rationalized to preserve the paradigm. He would point to Michael Mann’s resistance to disclose his hockey stick data and simulation code as brutal shielding of the paradigm, regardless of Mann’s being found innocent of ethics violations.
Climate science’s tendency to dismiss solar influence and alternative hypotheses would likely be interpreted by Kuhn as the marginalization of dissent and paradigm rigidity. Kuhn might not see this rigidity as a sign of dishonesty or interest – as Paul Feyerabend (below) would – but would see the prevailing framework as stifling the revolutionary thinking he believed necessary for scientific advancement. From Kuhn’s perspective, climate science’s entrenched consensus could make it deeply flawed by prioritizing conformity too heavily over innovation.
Imre Lakatos: Climate as “Research Programme”
Lakatos developed his concept of “research programmes” to evaluate scientific progress. He blended ideas from Popper’s falsification and Kuhn’s paradigm shifts. Lakatos distinguished between progressive and degenerating research programs based on their ability to predict new facts and handle challenges effectively.
Lakatos viewed scientific progress as developing within research programs having two main components. The hard core, for Lakatos, was the set of central assumptions that define the program, which are not easily abandoned. The protective belt is a flexible layer of auxiliary hypotheses, methods, and data interpretations that can be adjusted to defend the hard core from anomalies. A research program is progressive if it predicts novel phenomena and those predictions are confirmed empirically. It is degenerating if its predictions fail and it relies on ad hoc modifications to explain away anomalies.
In climate science, the hard core would be that global climate is changing, that greenhouse gas emissions drive this change, and that climate models can reliably predict future trends. Its protective belt would be the evolving methods of collecting, revising, and interpreting weather data adjustments due to new evidence such as volcanic activity.
Lakatos would be more lenient than Popper about continual theory revision and model-tweaking on the grounds that a progressive research agenda’s revision of its protective belt is justified by the complexity of the topic. Signs of potential degeneration of the program would include the “pause” in warming from 1998–2012, explained ad hoc as natural variability, particularly since natural variability was invoked too early to know whether the pause would continue. I.e., it was called a pause with no knowledge of whether the pause would end.
I suspect Lakatos would be on the fence about climate science, seeing it as more progressive (in his terms, not political ones) than rival programs, but would be concerned about its level of dogmatism.
Paul Feyerabend: Tyranny of Methodological Monism
Kuhn, Lakatos, and Paul Feyerabend were close friends who, while drawing on each other’s work, differed greatly in viewpoint. Feyerabend advocated epistemological anarchism, defending his claim that no scientific advancement ever proceeds purely within what is taught as “the scientific method.” He argued that science should be open to diverse approaches and that imposing methodological rules suppresses necessary creativity and innovation. Feyerabend often cited Galileo’s methodology, which bears little in common with what is called the scientific method. He famously claimed that anything goes in science, emphasizing the importance of methodological pluralism.
From Feyerabend’s perspective, climate science excessively relies on a narrow set of methodologies, particularly computer modeling and statistical analysis. The field’s heavy dependence on these tools and its discounting of historical climatology is a form of methodological monism. Its emphasis on consensus, rigid practices, and public hostility to dissent (more on below) would be viewed as stifling the kind of creative, unorthodox thinking that Feyerabend believed essential for scientific breakthroughs. The pressure to conform coupled with the politicization of climate science has led to a homogenized field that lacks cognitive diversity.
Feyerabend distrusted the orthodoxy of the social practices in what Kuhn termed “normal science” – what scientific institutions do in their laboratories. Against Lakatos, Feyerabend distrusted any rule-based scientific method at all. Science in the mid 1900’s had fallen prey to the “tyranny of tightly knit, highly corroborated, and gracelessly presented theoretical systems.”
Viewing science as an institution, he said that science was a threat to democracy and that there must be “a separation of state and science just as there is a separation between state and religious institutions.” He called 20th century science “the most aggressive, and most dogmatic religious institution.” He wrote that institutional science resembled more the church of Galileo’s day than it resembled Galileo. I think he would say the same of climate science.
Feyerabend complained that university research requires “a willingness to subordinate one’s ideas to those of a team leader.” In the case of global warming, government and government-funded scientists are deciding not only what is important as a scientific program but what is important as energy policy and social agenda. Feyerabend would be utterly horrified.
Feyerabend’s biggest concern, I suspect, would be the frequent alignment of climate scientists with alternative energy initiatives. Climate scientists who advocate for solar, wind, and hydrogen step beyond their expertise in diagnosing climate change into prescribing solutions, a policy domain involving engineering and economics. Michael Mann still prioritizes “100% renewable energy,” despite all evidence of its engineering and economical infeasibility.
Further, advocacy for a specific solution over others (nuclear power is often still shunned) suggests a theoretical precommitment likely to introduce observational bias. Climate research grants from renewable energy advocates including NGOs the Department of Energy’s ARPA-E program create incentives for scientists to emphasize climate problems that those technologies could cure. Climate science has been a gravy train for bogus green tech, such as Solyndra and Abound Solar.
Why Not Naomi Oreskes?
All my science history gods are dead white men. Why not include a prominent living historian? Naomi Oreskes at Harvard is the obvious choice. We need not speculate about how she would view climate science. She has been happy to tell us. Her activism and writings suggest she functions more as an advocate for the climate political cause than a historian of science. Her role extends past documenting the past to shaping contemporary debate.
Oreskes testified before U.S. congressional committees (House Select Committee on the Climate Crisis, 2019, and the Senate Budget Committee, 2023), as a Democratic-invited witness. There she accused political figures of harassing scientists and pushed for action against fossil fuel companies. She aligns with progressive anti-nuclear leanings. An objective historian would limit herself to historical facts and the resulting predictions and explanations rather than advocating specific legislative actions. She embraces the term “climate activist,” arguing that citizen engagement is essential for democracy.
Oreskes’s scholarship, notably her 2004 “The Scientific Consensus on Climate Change” and her book Merchants of Doubt, employ the narrative of universal scientific agreement on anthropogenic climate change while portraying dissent solely as industry-driven disinformation. She wrote that 100% of 928 peer-reviewed papers supported the IPCC’s position on climate change. Conflicting peer-reviewed papers show Oreskes to have, at best, cherry-picked data to bolster a political point. Pursuing legal attacks on fossil fuel companies is activism, not analysis.
Acts of the “Relevant Community”
Countless scientists themselves engage in climate advocacy, even in the analysis of effectiveness of advocacy. Advocacy backed by science, and science applied to advocacy. A paradigmatic example – using Kuhn’s term literally – is Dr. James Lawrence Powell’s 2017 “The Consensus on Anthropogenic Global Warming Matters.” In it, Powell addresses a critic’s response to Powell’s earlier report on the degree of scientific consensus. Powell argues that 99.99% of scientists accept anthropogenic warming, rather than 97% as his critic claims. But the thrust of Powell’s paper is that the degree of consensus matters greatly, “because scholars have shown that the stronger the public believe the consensus to be, the more they support the action on global warming that human society so desperately needs.” Powell goes on for seven fine-print pages, citing Oreskes’ work, with charts and appendices on the degree of scientific consensus. He not only focuses on consensus, he seeks consensus about consensus.
Of particular interest to anyone with Kuhn’s perspective – let alone Feyerabend’s – is the way climate science treats its backsliders. Dissenters are damned from the start, but those who have left the institution (literally, in the case of The Intergovernmental Panel on Climate Change) are further vilified.
Dr. Richard Tol, lead author for the Fifth IPCC Assessment Report, later identified methodological flaws in IPCC work. Dr. Judith Curry, lead author for the Third Assessment Report, later became a prominent critic of the IPCC’s consensus-driven process. She criticized climate models and the IPCC’s dismissal of natural climate variability. She believes (in Kuhnian terms) that the IPCC’s theories are value-laden and that their observations are theory-laden, the theory being human causation. Scientific American, a once agenda-less publication, called Curry a “climate heretic.” Dr. Patrick Michaels, contributor to the Second Assessment Report later emerged as a vocal climate change skeptic, arguing that the IPCC ignores natural climate variability and uses a poor representation of climate dynamics.
These scientists represent a small minority of the relevant community. But that community has challenged the motives and credentials of Tol, Curry, and Michaels more than their science. Michael Mann accused Curry of undermining science with “confusionism and denialism” in a 2017 congressional testimony. Mann said that any past legitimate work by Curry was invalidated by her “boilerplate denial drivel.” Mann said her exit strengthened the field by removing a disruptive voice. Indeed.
Tampering with Evidence
Everything above deals with methodological and social issues in climate science. Kuhn, Feyerabend, and even the Strong Program sociologists of science, assumed that scientists were above fudging the data. Tony Heller, Harvard emeritus professor of Geophysics, has, for over a decade, assembled screenshots of NASA and NOAA temperature records that prove continual revision of historic data, making the past look colder and the present look hotter. Heller’s opponents relentlessly engage in ad hominem attacks and character-based dismissals, rather than focusing on the substance of his arguments. If I can pick substance from his opponents’ positions, it would be that Heller cherry-picks U.S.-only examples and dismisses global evidence and corroboration of climate theory by evidence beyond temperature data. Heller may be guilty of cherry-picking. I haven’t followed the debate closely for many years.
But in 2013, I wrote to Judith Curry on the topic, assuming she was close to the issue. I asked her what fraction of NASA’s adjustments were consistent with strengthening the argument for 20th-century global warming, i.e., what fraction was consistent with Heller’s argument. She said the vast majority of it was.
Curry acknowledged that adjustments like those for urban heat-island effects and differences in observation times are justified in principle, but she challenged their implementation. In a 2016 interview with The Spectator, she said, “The temperature record has been adjusted in ways that make the past look cooler and the present warmer – it’s not a conspiracy, but it’s not neutral either.” She ties the bias to institutional pressures like funding and peer expectations. Feyerabend would smirk and remark that a conspiracy is not needed when the paradigm is ideologically aligned from the start.
In a 2017 testimony before the U.S. House Committee on Science, Space, and Technology, Curry said, “Adjustments to historical temperature data have been substantial, and in many cases, these adjustments enhance the warming trend.” She cited this as evidence of bias, implying the process lacks transparency and independent validation.
Conclusion
From the historical and philosophical perspectives discussed above, climate science can be critiqued as bad science. For the Logical Positivists, its global, far-future claims are hard to verify directly, challenging their empirical basis. For Hempel, its reliance on models and statistical trends rather than universal laws undermines its deductive explanatory power. For Popper, its long-term predictions resist falsification, blurring the line between science and non-science. For Kuhn, its dominant paradigm suppresses alternative viewpoints, hindering progress. Lakatos would likely endorse its progressive program, but would challenge its dogmatism. Feyerabend would be disgusted by its narrow methodology and its institutional rigidness. He would call it a religion – a bad one. He would quip that 97% of climate scientists agree that they do not want to be defunded. Naomi Oreskes thinks climate science is vital. I think it’s crap.
Fuck Trump: The Road to Retarded Representation
Posted by Bill Storage in History of Science on April 2, 2025
-Bill Storage, Apr 2, 2025
On February 11, 2025, the American Federation of Government Employees (AFGE) staged a “Rally to Save the Civil Service” at the U.S. Capitol. The event aimed to protest proposed budget cuts and personnel changes affecting federal agencies under the Trump administration. Notable attendees included Senators Brian Schatz (D-HI) and Chris Van Hollen (D-MD), and Representatives Donald Norcross (D-NJ) and Maxine Dexter (D-OR).
Dexter took the mic and said that “we have to fuck Trump.” Later Norcross led a “Fuck Trump” chant. The senators and representatives then joined a song with the refrain, “We want Trump in jail.” “Fuck Donald Trump and Elon Musk,” added Rep. Mark Pocan (D-WI).
This sort of locution might be seen as a paradigmatic example of free speech and authenticity in a moment of candid frustration, devised to align the representatives with a community that is highly critical of Trump. On this view, “Fuck Trump” should be understood within the context of political discourse and rhetorical appeal to a specific audience’s emotions and cultural values.
It might also be seen as a sad reflection of how low the Democratic Party has sunk and how low the intellectual bar has dropped to become a representative in the US congress.
I mostly write here about the history of science, more precisely, about History of Science, the academic field focused on the development of scientific knowledge and the ways that scientific ideas, theories, and discoveries have evolved over time. And how they shape and are shaped by cultural, social, political, and philosophical contexts. I held a Visiting Scholar appointment in the field at UC Berkeley for a few years.
The Department of the History of Science at UC Berkeley was created in 1960. There in 1961, Thomas Kuhn (1922 – 1996) completed the draft of The Structure of Scientific Revolutions, which very unexpectedly became the most cited academic book of the 20th century. I was fortunate to have second-hand access to Kuhn through an 18-year association with John Heilbron (1924 – 2023), who, outside of family, was by far the greatest influence on what I spend my time thinking about. John, Vice-Chancellor Emeritus of the UC System and senior research fellow at Oxford, was Kuhn’s grad student and researcher while Kuhn was writing Structure.
I want to discuss here the uncannily direct ties between Thomas Kuhn’s analysis of scientific revolutions and Rep. Norcross’s chanting “Fuck Trump,” along with two related aspects of the Kuhnian aftermath. The second is academic precedents that might be seen as giving justification to Norcross’s pronouncements. Third is the decline in academic standards over the time since Kuhn was first understood to be a validation of cultural relativism. To make this case, I need to explain why Thomas Kuhn became such a big deal, what relativism means in this context, and what Kuhn had to do with relativism.
To do that I need to use the term epistemology. I can’t do without it. Epistemology deals with questions that were more at home with the ancient Greeks than with modern folk. What counts as knowledge? How do we come to know things? What can be known for certain? What counts as evidence? What do we mean by probable? Where does knowledge come from, and what justifies it?
These questions are key to History of Science because science claims to have special epistemic status. Scientists and most historians of science, including Thomas Kuhn, believe that most science deserves that status.
Kernels of scientific thinking can be found in the ancient Greeks and Romans and sporadically through the Middle Ages. Examples include Adelard of Bath, Roger Bacon, John of Salisbury, and Averroes (Ibn Rushd). But prior to the Copernican Revolution (starting around 1550 and exploding under Galileo, Kepler, and Newton) most people were happy with the idea that knowledge was “received,” either through the ancients or from God and religious leaders, or from authority figures of high social status. A statement or belief was considered “probable”, not if it predicted a likely future outcome but if it could be supported by an authority figure or was justified by received knowledge.
Scientific thinking, roughly after Copernicus, introduced the radical notion that the universe could testify on its own behalf. That is, physical evidence and observations (empiricism) could justify a belief against all prior conflicting beliefs, regardless of what authority held them.
Science, unlike the words of God, theologians, and kings, does not deal in certainty, despite the number of times you have heard the phrase “scientifically proven fact.” There is no such thing. Proof is in the realm of math, not science. Laws of nature are generalizations about nature that we have good reason to act as if we know them to be universally and timelessly true. But they are always contingent. 2 + 2 is always 4, in the abstract mathematical sense. Two atoms plus two atoms sometimes makes three atoms. It’s called fission or transmutation. No observation can ever show 2 + 2 = 4 to be false. In contrast, an observation may someday show E = MC2 to be false.
Science was contagious. Empiricism laid the foundation of the Enlightenment by transforming the way people viewed the natural world. John Locke’s empirical philosophy greatly influenced the foundation of the United States. Empiricism contrasts with rationalism, the idea that knowledge can be gained by shear reasoning and through innate ideas. Plato was a rationalist. Aristotle thought Plato’s rationalism was nonsense. His writings show he valued empiricism, though was not a particularly good empiricist (“a dreadfully bad physical scientist,” wrote Kuhn). 2400 years ago, there was tension between rationalism and empiricism.
The ancients held related concerns about the contrast between absolutism and relativism. Absolutism posits that certain truths, moral principles, and standards are universally and timelessly valid, regardless of perspectives, cultures, or circumstances. Relativism, in contrast, holds that truth, morality, and knowledge are context-sensitive and are not universal or timeless.
In Plato’s dialogue, Theaetetus, Plato, examines epistemological relativism by challenging his adversary Protagoras, who asserts that truth and knowledge are not absolute. In Theaetetus Socrates, Plato’s mouthpiece, asks, “If someone says, ‘This is true for me, but that is true for you,’ then does it follow that truth is relative to the individual?”
Epistemological relativism holds that truth is relative to a community. It is closely tied to the anti-enlightenment romanticism that developed in the late 1700s. The romantics thought science was spoiling the mystery of nature. “Our meddling intellect mis-shapes the beauteous forms of things: We murder to dissect,” wrote Wordsworth.
Relativism of various sorts – epistemological, moral, even ontological (what kinds of things exist) – resurged in the mid 1900s in poststructuralism and postmodernism. I’ll return to postmodernism later.
The contingent nature of scientific beliefs (as opposed to the certitude of math), right from the start in the Copernican era, was not seen by scientists or philosophers as support for epistemological relativism. Scientists – good ones, anyway – hold it only probable, not certain, that all copper is conductive. This contingent state of scientific knowledge does not, however, mean that copper can be conductive for me but not for you. Whatever evidence might exist for the conductivity of copper, scientists believe, can speak for itself. If we disagreed about conductivity, we could pull out an Ohmmeter and that would settle the matter, according to scientists.
Science has always had its enemies, at times including clerics, romantics, Luddites, and environmentalists. Science, viewed as an institution, could be seen as the monster that spawned atomic weapons, environmental ruin, stem cell hubris, and inequality. But those are consequences of science, external to its fundamental method. They don’t challenge science’s special epistemic status, but epistemic relativists do.
Relativism about knowledge – epistemological relativism – gained steam in the 1800s. Martin Heidegger, Karl Marx (though not intentionally), and Sigmund Freud, among others, brought the idea into academic spheres. While moral relativism and ethical pluralism (likely influenced by Friedrich Nietzsche) had long been in popular culture, epistemological relativism was sealed in Humanities departments, apparently because the objectivity of science was unassailable.
Enter Thomas Kuhn, Physics PhD turned historian for philosophical reasons. His Structure was originally published as a humble monograph in International Encyclopedia of Unified Science, then as a book in 1962. One of Kuhn’s central positions was that evidence cannot really settle non-trivial scientific debates because all evidence relies on interpretation. One person may “see” oxygen in the jar while another “sees” de-phlogisticated air. (Phlogiston was part of a theory of combustion that was widely believed before Antoine Lavoisier “disproved” it along with “discovering” oxygen.) Therefore, there is always a social component to scientific knowledge.
Kuhn’s point, seemingly obvious and innocuous in retrospect, was really nothing new. Others, like Michael Polanyi, had published similar thoughts earlier. But for reasons we can only guess about in retrospect, Kuhn’s contention that scientific paradigms are influenced by social, historical, and subjective factors was just the ammo that epistemological relativism needed to escape the confines of Humanities departments. Kuhn’s impact probably stemmed from the political climate of the 1960s and the detailed way he illustrated examples of theory-laden observations in science. His claim that, “even in physics, there is no standard higher than the assent of the relevant community” was devoured by socialists and relativists alike – two classes with much overlap in academia at that time. That makes Kuhn a relativist of sorts, but he still thought science to be the best method of investigating the natural world.
Kuhn argued that scientific revolutions and paradigm shifts (a term coined by Kuhn) are fundamentally irrational. That is, during scientific revolutions, scientific communities depart from empirical reasoning. Adherents often defend their theories illogically, discounting disconfirming evidence without grounds. History supports Kuhn on this for some cases, like Copernicus vs. Ptolemy, Einstein vs. Newton, quantum mechanics vs. Einstein’s deterministic view of the subatomic, but not for others like plate tectonics and Watson and Crick’s discovery of the double-helix structure of DNA, where old paradigms were replaced by new ones with no revolution.
The Strong Programme, introduced by David Bloor, Barry Barnes, John Henry and the Edinburgh School as Sociology of Scientific Knowledge (SSK), drew heavily on Kuhn. It claimed to understand science only as a social process. Unlike Kuhn, it held that all knowledge, not just science, should be studied in terms of social factors without privileging science as a special or uniquely rational form of knowledge. That is, it denied that science had a special epistemic status and outright rejected the idea that science is inherently objective or rational. For the Strong Programme, science was “socially constructed.” The beliefs and practices of scientific communities are shaped solely by social forces and historical contexts. Bloor and crew developed their “symmetry principle,” which states that the same kinds of causes must be used to explain both true and false scientific beliefs.
The Strong Programme folk called themselves Kuhnians. What they got from Kuhn was that science should come down from its pedestal, since all knowledge, including science, is relative to a community. And each community can have its own truth. That is, the Strong Programmers were pure epistemological relativists. Kuhn repudiated epistemological relativism (“I am not a Kuhnian!”), and to his chagrin, was still lionized by the strong programmers. “What passes for scientific knowledge becomes, then, simply the belief of the winners. I am among those who have found the claims of the strong program absurd: an example of deconstruction gone mad.” (Deconstruction is an essential concept in postmodernism.)
“Truth, at least in the form of a law of noncontradiction, is absolutely essential,” said Kuhn in a 1990 interview. “You can’t have reasonable negotiation or discourse about what to say about a particular knowledge claim if you believe that it could be both true and false.”
No matter. The Strong Programme and other Kuhnians appropriated Kuhn and took it to the bank. And the university, especially the social sciences. Relativism had lurked in academia since the 1800s, but Kuhn’s scientific justification that science isn’t justified (in the eyes of the Kuhnians) brought it to the surface.
Herbert Marcuse, ” Father of the New Left,” also at Berkeley in the 1960s, does not appear to have had contact with Kuhn. But Marcuse, like the Strong Programme, argued that knowledge was socially constructed, a position that Kuhnians attributed to Kuhn. Marcuse was critical of the way that Enlightenment values and scientific rationality were used to legitimize oppressive structures of power in capitalist societies. He argued that science, in its role as part of the technological apparatus, served the interests of oppressors. Marcuse saw science as an instrument of domination rather than emancipation. The term “critical theory” originated in the Frankfurt School in the early 20th century, but Marcuse, once a main figure in Frankfurt’s Institute for Social Research, put Critical Theory on the map in America. Higher academics began its march against traditional knowledge, waving the banners of Marcusian cynicism and Kuhnian relativism.
Postmodernism means many things in different contexts. In 1960s academia, it referred to a reaction against modernism and Enlightenment thinking, particularly thought rooted in reason, progress, and universal truth. Many of the postmodernists saw in Kuhn a justification for certain forms of both epistemic and moral relativism. Prominent postmodernists included Jean-François Lyotard, Michel Foucault, Jean Baudrillard, Richard Rorty, and Jacques Derrida. None of them, to my knowledge, ever made a case for unqualified epistemological relativism. Their academic intellectual descendants often do.
20th century postmodernism had significant intellectual output, a point lost on critics like Gross and Levitt (Higher Superstition, 1994) and Dinesh De Souza. Derrida’s application of deconstruction of written text took hermeneutics to a new level and has proved immensely valuable to analysis of ancient texts, as has the reader-response criticism approach put forth by Louise Rosenblatt (who was not aligned with the radical skepticism typical of postmodernism) and Jacques Derrida, and embraced by Stanley Fish (more on whom below). All practicing scientists would benefit from Richard Rorty’s elaborations on the contingency of scientific knowledge, which are consistent with those held by Descartes, Locke, and Kuhn.
Michel Foucault attacked science directly, particularly psychology and, oddly, from where we stand today, sociology. He thought those sciences constructed a specific normative picture of what it means to be human, and that the farther a person was from the idealized clean-cut straight white western European male, the more aberrant those sciences judged the person to be. Males, on Foucault’s view, had repressed women for millennia to construct an ideal of masculinity that serves as the repository of political power. He was brutally anti-Enlightenment and was disgusted that “our discourse has privileged reason, science, and technology.” Modernity must be condemned constantly and ruthlessly. Foucault was gay, and for a time, he wanted sex to be the center of everything.
Foucault was once a communist. His influence on identity politics and woke ideology is obvious, but Foucault ultimately condemned communism and concluded that sexual identity was an absurd basis on which to form one’s personal identity.
Rosenblatt, Rorty, Derrida, and even at times Foucault, despite their radical positions, displayed significant intellectual rigor. This seems far less true of their intellectual offspring. Consider Sandra Harding, author of “The Gender Dimension of Science and Technology” and consultant to the U.N. Commission on Science and Technology for Development. Harding argues that the Enlightenment resulted in a gendered (male) conception of knowledge. She wrote in The Science Question in Feminism that it would be “illuminating and honest” to call Newton’s laws of motion “Newton’s rape manual.”
Cornel West, who has held fellowships at Harvard, Yale, Princeton, and Dartmouth, teaches that the Enlightenment concepts of reason and of individual rights, which were used since the Enlightenment were projected by the ruling classes of the West to guarantee their own liberty while repressing racial minorities. Critical Race Theory, the offspring of Marcuse’s Critical Theory, questions, as stated by Richard Delgado in Critical Race Theory, “the very foundations of the liberal order, including equality theory, legal reasoning, Enlightenment rationalism, and neutral principles of constitutional law.”
Allan Bloom, a career professor of Classics who translated Plato’s Republic in 1968, wrote in his 1987 The Closing of the American Mind on the decline of intellectual rigor in American universities. Bloom wrote that in the 1960s, “the culture leeches, professional and amateur, began their great spiritual bleeding” of academics and democratic life. Bloom thought that the pursuit of diversity and universities’ desire to increase the number of college graduates at any cost undermined the outcomes of education. He saw, in the 1960s, social and political goals taking priority over the intellectual and academic purposes of education, with the bulk of unfit students receiving degrees of dubious value in the Humanities, his own area of study.
At American universities, Marx, Marcuse, and Kuhn were invoked in the Humanities to paint the West, and especially the US, as cultures of greed and exploitation. Academia believed that Enlightenment epistemology and Enlightenment values had been stripped of their grandeur by sound scientific and philosophical reasoning (i.e. Kuhn). Bloom wrote that universities were offering students every concession other than education. “Openness used to be the virtue that permitted us to seek the good by using reason. It now means accepting everything and denying reason’s power,” wrote Bloom, adding that by 1980 the belief that truth is relative was essential to university life.
Anti-foundationalist Stanley Fish, Visiting Professor of Law at Yeshiva University, invoked Critical Theory in 1985 to argue that American judges should think of themselves as “supplementers” rather than “textualists.” As such, they “will thereby be marginally more free than they otherwise would be to infuse into constitutional law their current interpretations of our society’s values.” Fish openly rejects the idea of judicial neutrality because interpretation, whether in law or literature, is always contingent and socially constructed.
If Bloom’s argument is even partly valid, we now live in a second or third generation of the academic consequences of the combined decline of academic standards and the incorporation of moral, cultural, and epistemological relativism into college education. We have graduated PhDs in the Humanities, educated by the likes of Sandra Harding and Cornel West, who never should have been in college, and who learned nothing of substance there beyond relativism and a cynical disgust for reason. And those PhDs are now educators who have graduated more PhDs.
Peer reviewed journals are now being reviewed by peers who, by the standards of three generations earlier, might not be qualified to grade spelling tests. The academic products of this educational system are hired to staff government agencies, HR departments, and to teach school children Critical Race Theory, Queer Theory, and Intersectionality – which are given the epistemic eminence of General Relativity – and the turpitude of national pride and patriotism.
An example, with no offense intended to those who call themselves queer, would be to challenge the epistemic status of Queer Theory. Is it parsimonious? What is its research agenda? Does it withstand empirical scrutiny and generate consistent results? Do its theorists adequately account for disconfirming evidence? What bold hypothesis in Queer Theory makes a falsifiable prediction?
Herbert Marcuse’s intellectual descendants, educated under the standards detailed by Bloom, now comprise progressive factions within the Democratic Party, particularly those advocating socialism and Marxist-inspired policies. The rise of figures like Bernie Sanders, Alexandria Ocasio-Cortez, and others associated with the “Democratic Socialists of America” reflects a broader trend in American politics toward embracing a combination of Marcuse’s critique of capitalism, epistemic and moral relativism, and a hefty decline in academic standards.
One direct example is the notion that certain forms of speech including reactionary rhetoric should not be tolerated if they undermine social progress and equity. Allan Bloom again comes to mind: “The most successful tyranny is not the one that uses force to assure uniformity but the one that removes the awareness of other possibilities.”
Echoes of Marcuse, like others of the 1960s (Frantz Fanon, Stokely Carmichael, the Weather Underground) who endorsed rage and violence in anti-colonial struggles, are heard in modern academic outrage that is seen by its adherents as a necessary reaction against oppression. Judith Butler of UC Berkeley, who called the October 2023 Hamas attacks an “act of armed resistance,” once wrote that “understanding Hamas, Hezbollah as social movements that are progressive, that are on the left, that are part of a global left, is extremely important.” College students now learn that rage is an appropriate and legitimate response to systemic injustice, patriarchy, and oppression. Seing the US as a repressive society that fosters complacency toward the marginalization of under-represented groups while striving to impose heteronormativity and hegemonic power is, to academics like Butler, grounds for rage, if not for violent response.
Through their college educations and through ideas and rhetoric supported by “intellectual” movements bred in American universities, politicians, particularly those more aligned with relativism and Marcuse-styled cynicism, feel justified in using rhetorical tools born of relaxed academic standards and tangential admissions criteria.
In the relevant community, “Fuck Trump” is not an aberrant tantrum in an echo chamber but a justified expression of solidary-building and speaking truth to power. But I would argue, following Bloom, that it reveals political retardation originating in shallow academic domains following the deterioration of civic educational priorities.
Examples of such academic domains serving as obvious predecessors to present causes at the center of left politics include:
- 1965: Herbert Marcuse (UC Berkeley) in Repressive Tolerance argues for intolerance toward prevailing policies, stating that a “liberating tolerance” would consist of intolerance to right-wing movements and toleration of left-wing movements. Marcuse advanced Critical Theory and a form of Marxism modified by genders and races replacing laborers as the victims of capitalist oppression.
- 1971: Murray Bookchin’s (Alternative University, New York) Post-Scarcity Anarchism followed by The Ecology of Freedom (1982) introduce the eco-socialism that gives rise to the Green New Deal.
- 1980: Derrick Bell’s (New York University School of Law) “Brown v. Board of Education and the Interest-Convergence Dilemma” wrote that civil rights advance only when they align with the interests of white elites. Later, Bell, Kimberlé Crenshaw, and Richard Delgado (Seattle University) develop Critical Race Theory, claiming that “colorblindness” is a form of oppression.
- 1984: Michel Foucault’s (Collège de France) The Courage of Truth addresses how individuals and groups form identities in relation to truth and power. His work greatly informs Queer Theory, post-colonial ideology, and the concept of toxic masculinity.
- 1985: Stanley Fish (Yeshiva University) and Thomas Grey (Stanford Law School) reject judicial neutrality and call for American judges to infuse into constitutional law their current interpretations of our society’s values.
- 1989: Kimberlé Crenshaw of Columbia Law School introduced the concept of Intersectionality, claiming that traditional frameworks for understanding discrimination were inadequate because they overlooked the ways that multiple forms of oppression (e.g., race, gender, class) interacted.
- 1990: Judith Butler’s (UC Berkeley) Gender Trouble introduces the concept of gender performativity, arguing that gender is socially constructed through repeated actions and expressions. Butler argues that the emotional well-being of vulnerable individuals supersedes the right to free speech.
- 1991: Teresa de Lauretis of UC Santa Cruz: introduced the term “Queer Theory” to challenge traditional understandings of gender and sexuality, particularly in relation to identity, norms, and power structures.
Marcusian cynicism might have simply died an academic fantasy, as it seemed destined to do through the early 1980s, if not for its synergy with the cultural relativism that was bolstered by the universal and relentless misreading and appropriation of Thomas Kuhn that permeated academic thought in the 1960s through 1990s. “Fuck Trump” may have happened without Thomas Kuhn through a different thread of history, but the path outlined here is direct and well-travelled. I wonder what Kuhn would think.







